多组分流体:稀释管道中的时间变化边界条件
一些分析要求您在边界上设置时变条件。用户自定义场函数提供了一种可以这样做的方法。
本教程紧接上一个教程“多组分流体:稀释管中的稳态流”中的获得结果。本例求解同样的问题,不同的是两个入口边界的速度在两秒时间内随时间变化。
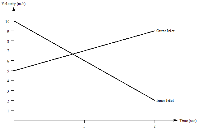
入口的速度-时间分布显示如下。

-
启动 Simcenter STAR-CCM+ 并加载 foundationTutorial_dilutionPipe_Steady.sim。
可以使用前面教程中保存的 sim 文件,或从 foundationTutorials 文件夹加载 foundationTutorial_dilutionPipe_Start.sim。
- 将模拟另存为 foundationTutorial_dilutionPipe_Unsteady.sim。
教程多组分流体: 稀释管中的稳态流已经选择了大部分模型。但您必须将分析类型更改为非稳态:
- 右键单击节点,并选择
-
在物理模型选择对话框中:
- 在已启用模型组合框内,取消选择稳态。
- 在时间组合框内,选择隐式稳态。
- 单击关闭。
要将入口速度曲线定义为时间的线性函数,您可以创建用户自定义场函数,该场函数分配给速度入口边界条件。所需函数是:
- 内部入口:
- 外部入口:
-
右键单击节点,然后选择。
新函数的属性窗口随即打开。
- 将场函数节点用户场函数 1重命名为内部入口速度。
-
选择内部入口速度节点:
- 将定义设置为 10-4*$Time
- 将函数名设置为内部入口速度
- 创建另一个标量场函数,然后将其节点重命名外部入口速度。
-
选择外部入口速度节点:
- 将定义设置为 5+2*$Time
- 将函数名设置为外部入口速度
要使用这些场函数来指定入口速度边界条件:
- 选择节点,并将方法设置为场函数。
- 单击标量函数属性的右侧。
- 在显示的对话框内,选择内部入口速度场函数节点,然后单击确定。
- 打开节点。按照以上所述的相同步骤,通过外部入口速度场函数在外部入口处定义速度大小。
- 保存模拟。
设置时间步长度和运行时间。仿真要从先前获得的稳态结果重新启动,然后运行 2 秒的物理时间。如果使用时间步 0.002 秒,这样分析需要 1000 步。
- 选择节点,并将时间步设为 0.002 s。
- 选择节点,然后将最大物理时间设置为 2.0 s。
- 选择节点,然后取消选择已启用。
- 选择,然后将 X 轴监视器属性设置为物理时间。
- 保存模拟。
-
要运行模拟,请单击顶部工具栏内的
(运行)。
如有必要,请单击残差选项卡,将残差绘图带入视图。图形窗口顶部的选项卡可用于选择激活的屏幕以进行查看。
运行期间,可单击工具栏内的
(停止)停止过程。如果停止了模拟,则稍后可通过单击
(运行)继续进行。如果仅剩一个模拟,则其会运行 2.0 秒物理时间。 - 保存模拟。