辐射属性
如果考虑参与介质,则辐射传输方程 (RTE) 的求解需要每个介质的交界面和表面的辐射属性定义。
热辐射的光谱建模
Simcenter STAR-CCM+ 使用热辐射模型定义如何对热辐射属性建模 — 作为波长独立(灰体)或作为波长相关(光谱)。该选择与模拟区域内和周围环境中的所有辐射一致相关。热辐射模型负责管理连续体中的辐射属性和与光谱相关的求解变量。
灰体热辐射模型考虑独立于波长的漫射和镜面反射辐射。介质和周围表面的辐射属性会视为对于所有波长均相同。
多波段热辐射模型可用于模拟与波长或频率相关的漫射和镜面反射辐射。在此模型中,波长波段指定介质和周围表面的辐射属性。选择波段的数量和范围来描述属性相对于波长的变化。在求解过程中,使用指定的属性为每个定义的波段求解控制辐射方程。然后,通过整合(汇总)每个单独波段的求解来获得总辐射求解。由于需要为每个波段求解控制方程,因此辐射求解时间通常随波段数而线性增加。因此,通常要在精度和计算时间之间进行权衡。
表面的辐射属性
在 Simcenter STAR-CCM+ 中,将在边界级别定义表面属性。
- 吸收率
- 吸收是一种现象,用于描述材料或边界从入射辐射能量移除的能量。吸收率无量纲并且定义为: (1762)
- 透射率
- 透射率 无量纲并且定义为: (1764)
其中, 为透射辐射能量, 为给定表面处的入射辐射能量。
- 反射率
- 反射率 定义为: (1765)
其中, 为反射辐射能量。
表面反射率可以是部分或是完全镜面反射(与漫射不同)。完全镜面反射表面是入射光方向沿整个表面法向完全反射的表面。入射角 等于反射角 ,如下图所示:
反射镜面性指表面反射率的镜面反射分数。值 0 表示所有反射均为漫射,而值 1 表示所有反射均为镜面反射。介于 0 和 1 之间的值表示部分镜面性。然后可通过反射镜面性与表面反射率的乘积确定镜面反射率。镜像表面是一个特例,它通过将表面反射率和反射镜面性设为 1 表示。此设置意味着表面完全反射,并且所有反射都是镜面反射。在此情况下,镜面反射率也等于 1。或者,镜面反射表面也可以是部分透射(如平板玻璃,尤其是低发射率玻璃)并且/或者具有吸收性(如高光喷漆表面)。在此类情况下,表面反射率小于 1,这时将通过表面透射率和/或表面发射率来补足满足基尔霍夫定律所需的差值。
参与介质的辐射属性
在 Simcenter STAR-CCM+ 中,介质可进行各向同性吸收、发射和散射,以及折射。吸收系数用于控制吸收/发射,散射系数用于控制散射,折射率用于控制局部发射以及两个介质之间交界面处的辐射方向。可以为这些系数直接指定值,或者使用内置灰气体加权求和法。当辐射穿过介质时,中间材料将沿 方向吸收和增加其辐射强度 。辐射传输方程 (RTE) Eqn. (1721) 可控制此过程。
- 吸收系数
-
吸收是一种现象,用于描述材料从入射辐射能量移除的能量。可使用吸收系数 描述此现象。根据以下公式,入射强度将按 沿视线线性减小:(1766)
在局部热力学平衡条件下,将应用基尔霍夫定律。体积发射与吸收系数和黑体函数成比例。局部强度将根据以下公式沿视线增大:
(1767)其中, 为波长 沿视线的黑体发射强度。
- 散射系数
- 散射系数是介质的属性,用于描述介质中每单位路径长度的热辐射散射量。在 Simcenter STAR-CCM+ 中,连续体和颗粒辐射的散射均为各向同性。
- 折射率
- 折射率可控制如折射率和黑体强度和折射、反射和临界角中所述的局部发射和方向。
在 Simcenter STAR-CCM+ 中,折射仅视为在两个介质之间的交界面处出现。因此,要为每个介质指定折射。
当介质的吸收和散射系数以及折射率独立于波长时,该介质称为灰体。在这种情况下,可按波长(或者,等同于波数)求 RTE 的积分,以生成与波长无关的方程。如果属性在整个光谱中发生变化,则多波段热模型可用于对光谱可变性进行建模。
- 灰气体加权求和法 (WSGGM)
-
Simcenter STAR-CCM+ 使用灰气体加权求和法 (WSGGM) 对参与介质中的辐射热传递属性建模,这些介质为含有 和 的气体混合物。WSGGM 广泛用于空气燃料燃烧过程的模拟。
虽然燃烧产物气体不会显著散射辐射,但却是较强的选择性辐射发射体和吸收体。 和 气体控制燃烧气体产物之间的云发射和吸收。这些组分需要将辐射属性的光谱变化考虑在内。
用于计算吸收系数的灰气体加权求和 (WSGG) 法是用户提供的过于简化灰气体模型和考虑详细吸收波段的完整光谱属性模型之间的合理折衷。此方法将 Hottel 图表 [406] 和灰气体求和模型 [407] 用于仅包含 和/或 气体的混合物。可使用多个曲线拟合灰气体求和表达式 [402]。在 WSGG 法中,假设介质由具有不同吸收系数的不同灰气体部分组成。
灰体介质的总灰气体吸收系数 与总吸收率 之间的关系为 Bouguer-Lambert 定律:
(1768)其中, 为光程长度 (OPL)。
通过对多种灰气体进行加权求和将总吸收率近似为:
(1769)其中, 为灰气体总数, 为加权因子, 为每种灰气体的吸收系数。根据 Hottel 图表的曲线拟合质量 [406] 和灰气体求和模型 [407], 通常可以给出令人满意的精度。Simcenter STAR-CCM+ 始终使用此 值。
通过 Eqn. (1769) 计算 后,可使用 Bouger-Lambert 定律 (Eqn. (1768)) 获得总灰气体吸收系数 。然后,使用 将 RTE 求解为 。
OPL 是用户提供的数量。OPL 可以用作调整参数,从而为气体介质的吸收系数获得合理的预期分布。OPL 值介于网格单元尺寸和整个计算域尺寸之间,具体取决于燃烧区域的光学厚度。例如,如果燃烧介质的光学厚度较高,则可以使用网格单元厚度定义 OPL。但是,对于光学上较薄的介质,使用对应于反应器尺寸的值。
OPL 与光学厚度相关性如下:
(1770)其中, 为光学厚度, 为 OPL, 为吸收系数。
指定 OPL 值后,WSGG 法即可捕捉吸收系数的局部变化(这是由气体温度和燃烧气体分压的变化所致)。
对于任意几何,OPL 可以近似为 ([408]):
(1771)其中,体积为气体的总体积,表面积为其总表面积。
- 相关 k 分布方法
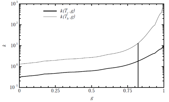
- 相关 k 分布灰气体法是对 WSGGM 的优化和完善。它提供了一组更平滑的加权函数,因此更容易进行积分,但是计算成本更高。该方法使用光谱重新排序法指定气体 H2O 和 CO2 的吸收系数。该方法最初是专为振动-旋转波段的模型线发射和吸收而开发;这些在燃烧应用中极其重要。CO2 和 H2O 有成千上万的边界线过渡,这些过渡因压力增宽和多普勒效应而变宽。下图(来自 [411])针对两种代表性状态显示了 CO2 在窄光谱波段上的吸收系数。

在逐线法中,为了确保精度,为多条线的燃烧气体求解光谱变化需要多个光谱点。如果吸收系数的光谱变化在整个介质中相同(即为均匀介质),则会多次求解相同的辐射传输 (RTE) 方程。k 分布法将光谱重新排列成一个单调递增函数,从而显著减少所需的 RTE 求解次数并为均匀混合物提供准确的逐线结果。Modest [411] 将 k 分布(对于窄带)定义为:
(1772)其中:
- 为表示气体属性(温度、压力、摩尔分数)的矢量。
- 为气体的光谱吸收系数。
- 为狄拉克 δ 函数。
k 分布是一个概率密度函数,给出吸收系数达到 k 值的概率。累积分布由以下公式给出:
其中, 表示吸收系数 的光谱部分,如下图(来自 [411])中所示(对于窄带,如上图中所示):

当考虑更广泛的光谱区(全光谱)时,必须考虑普朗克函数在不同温度下的变化。函数 变为:
其中, 为光谱积分黑体总强度, 为波长 的黑体强度。
函数 随即变为:
其中, 表示光谱的普朗克函数加权分数。Modest 和 Mehta [413] 以及 Modest 和 Singh [415] 提出的相关性分别用于计算 CO2 和 H2O 的全光谱 分布。如果这两种组分都存在,则使用 Modest 和 Riazzi [414] 提出的混合规则组合 分布。