ReTheta_t 相关性

R e θ t 既定的相关性由 Abu-Ghannam 和 Shaw [374] 提出。

在零压力梯度情况下,此相关性为:

1. EQUATION_DISPLAY
Reθt=163+e(6.91-Tu)
(1528)

其中,Tu 为湍流强度。

由 Menter 等人 ([380]) 针对 Gamma ReTheta 转换模型提出的替换表达式为:

2. EQUATION_DISPLAY
Reθt=803.73(Tu+0.6067)-1.027
(1529)

此表达式后经 Langtry [378] 修订,旨在改进较低自由流湍流强度时的结果,如下所示:

3. EQUATION_DISPLAY
Reθt={(1173.51-589.428Tu+0.2196/Tu2);  Tu1.3331.5(Tu-0.5658)-0.671;  Tu>1.3
(1530)

下图中已绘制三种零压力梯度相关性。Simcenter STAR-CCM+ 中提供了所有这三种相关性,使用户能够灵活地自定义相关性,但Eqn. (1530) 是内部 "Suluksna-Juntasaro" 校准中默认使用的相关性。



Reθt vs. 自由流湍流强度

对于 Eqn. (1528)Eqn. (1530) 中为零压力梯度呈现的三种相关性,最初均以包含压力梯度效应的形式呈现。有一点疑问:Reθt 相关性[385] 中需要压力梯度效应,因为它们可以引入压力梯度效应的双重计算。但是,它们以可选方式包括在 Simcenter STAR-CCM+ 中。如果存在压力梯度,相关性需要计算 Thwaites 参数 λθ,而在由 Menter 等人 [380] 提出的相关性中,需要计算加速度参数 K

Thwaite 参数 λθ 定义为:

4. EQUATION_DISPLAY
λθ=θ2νUs
(1531)

其中:

5. EQUATION_DISPLAY
θ=νUReθt
(1532)
6. EQUATION_DISPLAY
U=|v¯|
(1533)
  • ν 为运动粘度。
  • v¯ 为平均速度矢量。

参数 K 定义为:

7. EQUATION_DISPLAY
K=νU2Us
(1534)

s 表示壁面平行方向,其中使用流向和壁面法向构造局部坐标系。

湍流强度从湍动能中得出,如下所示:

8. EQUATION_DISPLAY
Tu=1002k/3U
(1535)

流向速度梯度计算方法如下:

9. EQUATION_DISPLAY
Us=(v¯Tv¯)v¯v¯v¯
(1536)

其中,v¯T 表示 v¯ 的转置。

由于动量厚度 θ 必须从动量厚度雷诺数 Reθ 中衍生得出,因此相关性将成为迭代求解的隐式函数。

Abu-Ghannam 和 Shaw [374] 提出的非零压力梯度 (NZPG) 相关性为:

10. EQUATION_DISPLAY
Reθt=163+e[F(λθ)(1-Tu6.91)]
(1537)

其中:

11. EQUATION_DISPLAY
F(λθ)={6.91+12.75λθ+63.64λθ2;  λθ06.91+2.58λθ-12.27λθ2;  λθ>0
(1538)

为了确保数值稳定性,将应用以下限制:

12. EQUATION_DISPLAY
-0.1λθ0.1Reθt20
(1539)

Menter 等人 ([380]) 提出的 NZPG 相关性为:

13. EQUATION_DISPLAY
Reθt=803.73(Tu+0.6067)-1.027F(λθ,K)
(1540)
14. EQUATION_DISPLAY
F(λθ,K)={1+Fλexp(-Tu/3);  λθ01+FK[1-exp(-Tu/1.5)]+0.556[1-e-23.9λθ]e-Tu/1.5;  λθ>0
(1541)

其中:

15. EQUATION_DISPLAY
Fλ=10.32λθ+89.47λθ2+265.51λθ3
(1542)
16. EQUATION_DISPLAY
FK=[0.0962(K106)+0.148(K106)2+0.0141(K106)3]
(1543)

为了确保数值稳定性,将应用以下限制:

17. EQUATION_DISPLAY
-0.1λθ0.1-3x10-6K3x10-6Reθt20
(1544)

Langtry[378]提出的 NZPG 相关性为:

18. EQUATION_DISPLAY
Reθt={(1173.51589.428Tu+0.2196/Tu2)F(λθ)331.5(Tu0.5658)0.671F(λθ);Tu1.3;Tu>1.3
(1545)
19. EQUATION_DISPLAY
F(λθ)={1+12.986λθ+123.66λθ2+405.689λθ3;  λθ01+0.275[1-exp(-35λθ)]exp(-2Tu);  λθ>0
(1546)

为了确保数值稳定性,将应用以下限制:

20. EQUATION_DISPLAY
-0.1λθ0.1Tu0.027Reθt20
(1547)

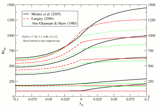
下图对比显示了一系列自由流湍流强度的三种 NZPG 相关性。



Reθt vs. λθ 用于各种自由流湍流强度值