ReTheta_c 和 F_长度相关性
和 相关性已根据 Suluksna 等人 [385] 建议的形式进行校准。相关性如下:
(1548)
(1549)
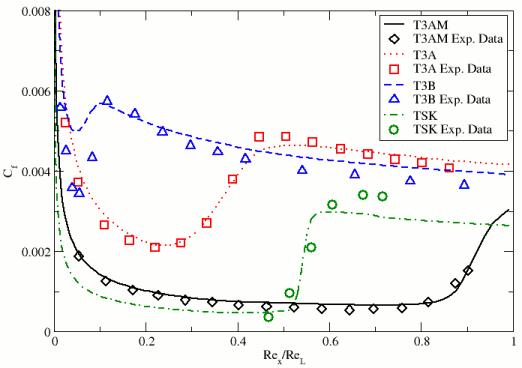
与 Eqn. (1530) 中 的相关性结合使用时,这些相关性使得 Gamma ReTheta 转换模型能够模拟旁路转换案例 T3A、T3B、T3AM[377] 以及自然转换案例 TSK[384],如下图中所示。

用于已校准相关性的表面摩擦系数预测
和 相关性已根据 Suluksna 等人 [385] 建议的形式进行校准。相关性如下:
与 Eqn. (1530) 中 的相关性结合使用时,这些相关性使得 Gamma ReTheta 转换模型能够模拟旁路转换案例 T3A、T3B、T3AM[377] 以及自然转换案例 TSK[384],如下图中所示。

用于已校准相关性的表面摩擦系数预测