来源:CAEandCFD公众号(ID:feaforall)

流体力学 (Fluid Mechanics) 有着非常漫长的历史,最古老的涉及流体力学的人物可能就是古希腊的阿基米德了 (Archimedes),大家都知道的阿基米德浮力定理,当时阿基米德在羊皮纸上用希腊语写了论浮力 (On Floating Bodies) 的文章并流传至今。但是在很长时间里流体力学并不被当作一门独立的学科,直到1687年牛顿 (Isaac Newton) 在其划时代的巨著《自然哲学的数学原理》(Philosophiae Naturalis Principia Mathematica) 之后流体力学才真正走上历史舞台。在书中除了著名的牛顿三大定理以外,牛顿还提到流体力学相关的内容,他写到:对于平直的均匀流体,流体层与层之间的剪应力正比于垂直流体方向上的速度梯度。

阿基米德的手稿

牛顿的《自然哲学的数学原理》
除了阿基米德和牛顿以外,在流体力学的发展历程中,做出贡献的人物可以说是阵容豪华,比如非粘性流体 (Inviscid flow) 数学分析涉及的人物有欧拉 (Leonhard Euler), 达朗贝尔 (Jean le Rond d'Alembert),拉格朗日 (Joseph Louis Lagrange), 拉普拉斯 (Pierre-Simon Laplace),泊松 (Siméon Denis Poisson);非粘性流体的数学分析涉及的人物有高斯 (Guass),泊松,圣维南 (Saint-Venant) 等等,其它在流体力学中涉及湍流/紊流,粘性/非粘性的推动者有雷诺 (Osborne Reynolds),泰勒 (Geoffrey Ingram Taylor) 等等。而对这些理论归纳整理的两位科学家就是纳维尔 (Claude-Louis Navier) 和斯托克斯 (George Gabriel Stokes),当今有名的纳维尔-斯托克斯方程组 (Navier-Stokes Equations) 就是以他们俩的名字命名的,也是今天要讲的主题。

纳维尔
克劳德-路易·纳维尔 (Claude-Louis Navier,1785年2月10日-1836年8月21日) 是一位法国工程师与物理学家,主要贡献在力学领域。
纳维尔的父亲在1793年过世,纳维尔的母亲让她的叔叔Emiland Gauthey来教育纳维尔。1824年纳维尔进入法国科学院,1830年时担任国立桥路学校的教授,次年接替奥古斯丁·路易·柯西,在巴黎综合理工学院担任微积分及力学的教授。
纳维尔在1821年将弹性理论以数学公式的形式表示,使这个领域第一次可以计算有足够精确度的结果。1826年纳维尔确认弹性模量是材料的一个基本属性,和物体的截面二次轴矩无关,因此纳维尔也是结构分析的创始者之一。
当然,纳维尔主要的贡献还是纳维尔-斯托克斯方程,是流体力学的理论中心。由于其卓越的贡献,纳维尔也是法国艾菲尔铁塔上所刻的72人名字之一(还有拉格朗日,拉普拉斯,傅里叶等大家)。

埃菲尔铁塔上刻有象征法兰西科学精神的72个人物名字的位置

乔治·加布里埃尔·斯托克斯
乔治·加布里埃尔·斯托克斯爵士 (eorge Gabriel Stokes,1819年8月13日-1903年2月1日),爱尔兰数学家和物理学家,就读和任教于剑桥大学,主要贡献在流体动力学、光学和数学物理学(如大家熟知的斯托克斯公式)。他曾任英国皇家学会秘书和会长。
他出生在新教徒家庭,父亲是爱尔兰斯莱戈郡教区牧师。先后在都柏林、布里斯托尔就读,1837年考入剑桥大学彭布罗克学院。四年后以最高分毕业,并获得史密斯奖。1849年获卢卡斯数学教授席位,1854年出任皇家学会秘书,1885–1890年期间出任会长。1889年被封为从男爵。1899年6月1日,他任卢卡斯教授50周年,剑桥大学举行了盛大庆祝会,校监向他颁发金牌。
1842至1843年,他刊出第一批论文,关于不可压缩流体的稳定流动。其后在1845年,他就流体流动的摩擦力及弹性固体的平衡和运动发表论文,在1850年探讨流体的内部摩擦力对摆运动的影响。他也曾就声音的理论作出贡献,如风对声音强度的影响。他的研究标志着流体动力学的新里程,不但有助解释自然现象(如空中云的运动、水中漾和浪的运动等),更有助解决技术问题,如水在河和管道中的流动以及船只的表面阻力等。
前面我们曾说到,在CFD流体力学中,最重要的方程就是纳维尔-斯托克斯方程 (Navier-Stokes equations),这并不是一个单一的方程,而是一个方程组,是在众多科学家和工程师的推动下产生的。在流体力学中,有很多方程,但很多方程都和纳维尔-斯托克斯方程有着联系,可以说,该方程在流体力学中起着基础性的作用,但也起着决定性的作用,套用指环王的故事,Navier-Stokes equations可以比做至尊魔戒,其它大大小小的方程比做各个流体力学国度国王拥有的普通戒指,那么可谓是一戒统领众戒 (one ring rules all rings)。
数学家、科学家伊恩·斯图尔特 (Ian Stewart) 出过一本书,名叫《17 Equations That Changed The World (改变世界的17个方程)》。其中大多数公式我们都见过,里面就包括纳维尔-斯托克斯方程。

改变世界的17个方程
Navier-Stokes equations已经渗透到描述流体的方方面面,也在众多实际工程中得到了应用。但意外的是,这个方程的数学特性——解的存在性和光滑性至今没有得到证明。
纳维-斯托克斯存在性与光滑性是有关纳维-斯托克斯方程其解的数学性质有关的数学问题。方程可以描述空间中流体(液体或气体)的运动。纳维尔-斯托克斯方程式的解可以用到许多实际应用的领域中。不过对于纳维-斯托克斯方程式解的理论研究仍然不足,尤其纳维-斯托克斯方程式的解常会包括紊流。虽然紊流在科学及工程中非常的重要,不过紊流仍是未解决的物理学问题之一。
许多纳维尔-斯托克斯方程式解的基本性质都尚未被证明。例如数学家就尚未证明在三维座标,特定的初始条件下,纳维尔-斯托克斯方程式是否有符合光滑性的解。也尚未证明若这样的解存在时,其动能有其上下界,这就是“纳维-斯托克斯存在性与光滑性”问题。
由于了解纳维尔-斯托克斯方程式被视为是了解难以捉摸的紊流现象的第一步,克雷数学研究所在2000年5月提供了一百万美元的奖金给第一个证明该方程的人。这也是美国克雷数学研究所 (Clay Mathematics Institute) 在2000年提出的7个千禧年大奖难题中的问题之一。克雷数学研究所设定了该问题具体的数学描述:
我们不妨看看该问题具体的描述(以下方程的描述来自维基百科):
以数学的观点来看,纳维尔-斯托克斯方程是一个针对任意维度向量场的非线性偏微分方程;从物理及工程的观点来看,纳维-斯托克斯方程是一个用连续介质力学描述液体或非稀疏气体运动的方程式组。此方程式是以牛顿第二运动定律为基础,考虑一黏滞性牛顿流体的所有受力,包括压强、黏滞力及外界的体积力。
由于克雷数学研究所提出的问题是在三维空间下,不可压缩的匀质流体为准,以下也只考虑此条件下的纳维-斯托克斯方程。
令v(x,t)为描述流体速度的三维向量场,且p(x,t)为流体压强。纳维尔-斯托克斯方程为:

其中:
-
v>0为动黏滞度;
-
f(x,t)为外力;
-
▽为梯度运算子;
-
Δ为拉普拉斯算子,也可写为▽·▽。
上述方程是向量方程,可以分解为三个纯量的方程,将速度及外力分解为三个座标下的分量:

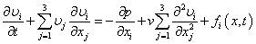
则纳维-斯托克斯方程可写成以下的形式,i=1,2,3:

其中的未知数有速度v(x,t)及压强p(x,t)。由于只考虑三维空间,因此有三个方程及四个未知数,分别是速度的三个分量及压强,还需要一个方程才能解出所有的未知数。这个新增的方程是描述流体不可压缩性的连续性方程式:

所以纳维-斯托克斯方程解的速度会是无散度的向量函数。对于在均匀介质中的无散度流,其密度及动黏滞度为定值。具体方程的展开这里不再说明。
目前纳维尔-斯托克斯方程的证明进展如下:
-
二维空间下的纳维尔-斯托克斯问题已在1960年代已经被证明:存在光滑及全局定义解的解。
-
在初速v(x,t)相当小时此问题也已得证:存在光滑及全局定义解的解。
-
若给定一初速v0(x),且存在一有限、依v0(x)而变动的时间T,使得在R³×(0,T)的范围内,纳维-斯托克斯方程有平滑的解,还无法确定在时间超过T后,是否仍存在平滑的解。
-
数学家让·勒雷在1934年时证明了所谓纳维-斯托克斯问题弱解的存在,此解在平均值上满足纳维-斯托克斯问题,但无法在每一点上满足。
当然,虽然说纳维尔-斯托克斯方程描述了流体领域的大部分条件,不过也有其适用范围,该方程只适用于牛顿流体,什么是牛顿流体呢?简单说就是:任一点上的剪应力都同剪切变形速率呈线性函数关系的流体。一般高黏度的流体是不满足这种关系的,说明牛顿流体和非牛顿流体有个简单的例子就是大家熟知的虹吸现象。在低黏度下,虹吸要进行下去,吸取口必须在页面以下,但非牛顿流体的高黏度流体下,吸取口哪怕高于液面,其虹吸依然能够进行,因为黏度太大了,这个还是很容易想象到的。
那么,可能有人要问了,居然有不适用纳维尔-斯托克斯方程的流体,那么该方程是不是就不完备了。是的,方程是不完备,不能一统流体世界的天下,不过对于工程应用来说,大部分情况还是处理牛顿流体,或者可以近似为牛顿流体,这样纳维尔-斯托克斯方程基本就是流体世界的王者了。

低黏度下的虹吸现象(吸取口低于液面)

高黏度下的虹吸现象(吸取口高于液面)
说到这里,或许可以告一段落了,但或许有人也有点困惑,有些人会想:虽然我数学没那么厉害,但感觉纳维尔-斯托克斯方程的证明对于数学家来说应该不难吧,这么几百年过去了难道都没有一个数学家站出来证明他吗。我们已经征服了描述时空的相对论,让我们翱翔到宇宙深处;我们也已经很大程度上征服了量子力学所描述的微观世界,让我们体验到神奇的量子世界,那里有宇宙大爆炸,有浪漫的平行宇宙。可是,对于一个函数来说,其解的存在性和光滑性(可以看做高中数学中函数的连续性)都不能被证明,实在匪夷所思啊。
有些数学问题看似简单,但对数学家来说,要证明其绝对的正确性,却并不一定是个易事,比如前面提到的美国克雷数学研究所提出的7个千禧年难题,其起草者之一安德鲁·怀尔斯 (Andrew Wiles),他在1993证明了难倒数学界300多年的费马大定理 (Fermat's Last Theorem),而费马大定理本身看似也是非常的简单,其问题描述如下:
-
当整数n >2时,关于x, y, z的方程 xⁿ+ yⁿ = zⁿ 没有正整数解
就是这样一个人人都能看懂的问题,却耗费了数学界300多年才得以解决,可想而知,对于数学证明来说,远没有我们想象的简单。
希望,在我们这个时代,纳维尔-斯托克斯方程 (Navier-Stokes Equations) 能够得到证明,为我们打开自然界的奥秘!

声明:本微信转载文章出于非商业性的教育和科研目的,并不意味着支持其观点或证实其内容的真实性。版权归原作者所有,如转载稿涉及版权等问题,请立即联系我们,我们会予以更改或删除相关文章,保证您的权利!
本篇文章来源于微信公众号: CFD之道








评论前必须登录!
注册