本文利用有限差分法计算求解二维Burger方程。
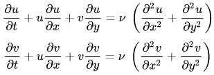
二维Burger方程形式为:

离散方程可写成:

转换形式可以表达为:

用代码实现实际上很简单。
nx = 41
ny = 41
nt = 120
c = 1
dx = 2 / (nx - 1)
dy = 2 / (ny - 1)
sigma = .0009
nu = 0.01
dt = sigma * dx * dy / nu
x = numpy.linspace(0, 2, nx)
y = numpy.linspace(0, 2, ny)
u = numpy.ones((ny, nx))
v = numpy.ones((ny, nx))
un = numpy.ones((ny, nx))
vn = numpy.ones((ny, nx))
comb = numpy.ones((ny, nx))
# 指定u初始化条件u(.5<=x<=1 && .5<=y<=1 )= 2
u[int(.5 / dy):int(1 / dy + 1),int(.5 / dx):int(1 / dx + 1)] = 2
# 指定v初始化条件u(.5<=x<=1 && .5<=y<=1 )= 2
v[int(.5 / dy):int(1 / dy + 1),int(.5 / dx):int(1 / dx + 1)] = 2
# 绘制初始条件
fig = pyplot.figure(figsize=(11, 7), dpi=100)
ax = fig.gca(projection='3d')
X, Y = numpy.meshgrid(x, y)
ax.plot_surface(X, Y, u[:], cmap=cm.viridis, rstride=1, cstride=1)
ax.plot_surface(X, Y, v[:], cmap=cm.viridis, rstride=1, cstride=1)
ax.set_xlabel('$x$')
ax.set_ylabel('$y$')

下面进行计算。
for n in range(nt + 1): # 时间迭代
un = u.copy()
vn = v.copy()
u[1:-1, 1:-1] = (un[1:-1, 1:-1] -
dt / dx * un[1:-1, 1:-1] *
(un[1:-1, 1:-1] - un[1:-1, 0:-2]) -
dt / dy * vn[1:-1, 1:-1] *
(un[1:-1, 1:-1] - un[0:-2, 1:-1]) +
nu * dt / dx**2 *
(un[1:-1,2:] - 2 * un[1:-1, 1:-1] + un[1:-1, 0:-2]) +
nu * dt / dy**2 *
(un[2:, 1:-1] - 2 * un[1:-1, 1:-1] + un[0:-2, 1:-1]))
v[1:-1, 1:-1] = (vn[1:-1, 1:-1] -
dt / dx * un[1:-1, 1:-1] *
(vn[1:-1, 1:-1] - vn[1:-1, 0:-2]) -
dt / dy * vn[1:-1, 1:-1] *
(vn[1:-1, 1:-1] - vn[0:-2, 1:-1]) +
nu * dt / dx**2 *
(vn[1:-1, 2:] - 2 * vn[1:-1, 1:-1] + vn[1:-1, 0:-2]) +
nu * dt / dy**2 *
(vn[2:, 1:-1] - 2 * vn[1:-1, 1:-1] + vn[0:-2, 1:-1]))
u[0, :] = 1
u[-1, :] = 1
u[:, 0] = 1
u[:, -1] = 1
v[0, :] = 1
v[-1, :] = 1
v[:, 0] = 1
v[:, -1] = 1
绘制计算结果。
fig = pyplot.figure(figsize=(11, 7), dpi=100)
ax = fig.gca(projection='3d')
X, Y = numpy.meshgrid(x, y)
ax.plot_surface(X, Y, u, cmap=cm.viridis, rstride=1, cstride=1)
ax.plot_surface(X, Y, v, cmap=cm.viridis, rstride=1, cstride=1)
ax.set_xlabel('$x$')
ax.set_ylabel('$y$')
计算结果如下图所示。

END
本篇文章来源于微信公众号: CFD之道








评论前必须登录!
注册