本案例演示利用Fluent + Mechanical + System Coupling实现双向流固耦合计算的一般流程。
1 案例描述
如下图所示的管道中有流体流过,计算考虑流体作用下管道的振动。

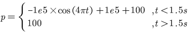
管道入口为脉动压力,其定义为:

其函数曲线如图所示。

在Fluent计算过程中,需调用UDF宏DEFINE_PROFILE定义入口条件。
#include "udf.h"
DEFINE_PROFILE(pin, t, nv)
{
face_t f ;
real flow_time = RP_Get_Real("flow-time");
if (flow_time < 1.5)
{
begin_f_loop(f,t)
{
F_PROFILE(f,t,nv) = -1e5 * cos(4*3.14*flow_time)+1e5 ;
}
end_f_loop(f,t)
}
else
{
begin_f_loop(f,t)
{
F_PROFILE(f,t,nv) = 1.E2 ;
}
end_f_loop(f,t)
}
}
本案例双向耦合采用下列计算流程。

2 计算模型
本案例计算模型如下图所示。

固体计算采用三维实体单元。如下图所示。

流体域几何如下图所示。

在SCDM中,模型树结构如下图所示。

注:本案例的固体部分也可以使用壳单元计算,在指定流固耦合面时需要注意壳体的方向。
3 Fluent求解设置
3.1 划分流体网格
-
双击A3单元格进入Mesh模块
-
右键选择模型树节点Geometry > Surface,点击弹出菜单项Suppress Body去除曲面

-
选中模型树节点FFFSolid,点击键盘F2键,修改节点名称为fluid
-
右键选择模型树节点Mesh,点击菜单Insert → Method插入网格方法

-
属性窗口中设置网格方法为Sweep,并选择圆面为源面,设置Sweep Num Divs为100

-
右键选择模型树节点Mesh,点击弹出菜单项Insert → Sizing插入网格尺寸

-
属性窗口中指定Geometry为三维几何体,设定其Element Size为1.0 mm

-
右键选择模型树节点Mesh,点击菜单项Generate Mesh生成网格,最终形成网格如下图所示

-
为边界命名如下图所示,注意耦合面必须命名

-
选择模型树节点Mesh,点击工具栏按钮Update更新网格
-
关闭Mesh模块返回至Workbench
3.2 Fluent设置
-
双击A4单元格进入Fluent
-
双击模型树节点General,右侧面板设置Time为Transient采用瞬态计算

注:双向耦合问题通常采用瞬态计算。
-
鼠标右键选择模型树节点Models > Viscous,点击弹出菜单项Model → Realizable k-epsilon选择湍流模型

-
从材料库中添加water-liquid,属性参数采用默认设置,添加完毕后模型树如下图所示

-
鼠标双击模型树节点Cell Zone Conditions > fluid,弹出对话框中选择Material Name为water-liquid

-
鼠标右键选择模型树节点User Defined Functions,点击弹出菜单项Interpreted…打开UDF解释对话框

-
在UDF解释对话框中加载源文件pin.c,点击按钮Interpret解释UDF

-
鼠标右键选择模型树节点Boundary Conditions > inlet,在弹出的边界条件设置对话框中设置Gauge Total Pressure为udf pin,如下图所示

-
鼠标双击模型树节点Dynamic Mesh,右侧面板激活选项Dynamic Mesh及Smoothing及Remeshing,如下图所示,点击Settings…按钮弹出设置对话框

-
弹出对话框中进入Smoothing标签页,设置Method为Diffusion,设置Diffusion Parameter为1.5

注:扩散系数可取值0~2,一般情况下取1.5比较合适
-
切换至Remeshing标签页,如下图所示设置网格参数,点击OK按钮关闭对话框

注:这里最简单的做法是点击对话框中按钮User Defaults自动填入合适的网格参数
-
鼠标双击模型树节点Dynamic Mesh,右侧面板点击按钮Dynamic Mesh Zones,如下图所示设置Zone Name为wall,设置Type为System Coupling,设置Mesh Options标签页下参数Cell Height为0.002 m,点击按钮Create创建动网格区域,点击按钮Close关闭对话框

-
鼠标右键选择模型树节点Initialization,点击弹出菜单项Initialize进行初始化

-
鼠标双击模型树节点AutoSave…,弹出对话框中设置Save Data File Every为10

-
鼠标双击模型树节点Run Calculation,右侧面板中设置Time Step Size为1 s,其他参数保持默认设置

注:这里的时间步长和时间步数随便设置即可,但不能为零。真实的计算时间步长和时间步数在SC中设置。
-
关闭Fluent,返回至Workbench面板
未完,请看下篇
本篇文章来源于微信公众号: CFD之道









后期会讲解abaqus与fluent耦合分析,使用mpcci软件的教程吗