-
定义参数以优化设计 -
定义需要优化的主函数及复合函数 -
参数求解计算 -
输出并显示参数化结果
1 问题描述

2 创建工程
-
启动Icepak,点击Unpack按钮解压文件loss-coefficient.tzr


3 定义参数

-
点击菜单Solve → Define report弹出设置对话框

-
双击模型树节点cabinet_default_side_minx弹出设置对话框,如下图所示在Properties标签页中设置X Velocity为 $Re*1.84e-5/9.322e-3

-
点击按钮Update弹出初始值设置对话框,如下图所示,设置变量Re的初始值为10

-
点击菜单Solve → Define trials弹出设置对话框,如下图所示在Setup标签页中激活选项Parametric trials及All combinations

-
进入Design variables标签页,如下图所示设置离散值为10 50 100 500 1000

-
进入Trials标签页,如下图所示进行设置

-
进入标签页Functions,如下图所示定义主变量Pstat_in

-
相同方式定义主变量Pstat_out

-
定义主变量Uave_in

-
定义主变量Uave_out

-
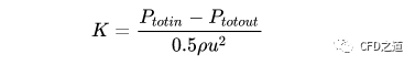
如下图所示定义衍生变量Pdyn_in为 0.5*1.1614*$Uave_in*$Uave_in

-
相同方式定义其它衍生变量,如下图所示

-
点击按钮Done关闭对话框

4 生成网格
-
打开Mesh control对话框,如下图所示采用默认设置,点击按钮Generate…生成计算网格



5 计算参数设置
-
双击模型树节点Basic parameters,如下图所示设置参数面板

-
鼠标双击模型树节点Basic settings,如下图所示,设置迭代次数为500

-
鼠标双击模型树节点Parallel settings,弹出面板中设置并行计算参数,如下图所示

-
选择菜单Solve → Run optimization打开参数计算对话框

-
如下图所示,点击按钮Run开始参数计算

6 计算结果

-
点击Plot按钮,打开设置对话框,如下图所示设置变量Re为x变量

-
选择变量Kfact为Y变量

-
显示Kfact-Re关系曲线图如下图所示

本篇文章来源于微信公众号: CFD之道








评论前必须登录!
注册