注:文本译自Fluent UserGuide12.1~12.2.1,未校核!
湍流是在中、高雷诺数流动中的三维非定常随机运动。工程流动一般以低粘度流体为基础,因此几乎所有的流动都是湍流。工程技术中存在非常多与湍流相关的物理量,如:
尽管湍流在可以由Navier-Stokes方程描述,然而在大多数情况下利用直接数值模拟(DNS)方法解决大范围的时间和空间尺度的湍流是不可行的,在可预见的未来,CPU的需求都将远远超过可用的计算能力。因此常采用平均法滤除NS方程中所有或部分湍流谱,目前应用最广泛的方法是进行雷诺平均,得到雷诺平均NS(RANS)方程。该方法消除了流动中的所有湍流结构,可以得到平均速度场和平均压力场的变化。然而平均处理会在输运方程中引入额外的未知项(雷诺应力和通量),这些项需要由合适的湍流模型进行封闭。数值模拟的结果与所选择的湍流模型密切相关,如何选择合适的湍流模型以及为所选择的湍流模型提供合适的数值网格非常重要。
RANS的另一种替代方法是尺度求解模拟(Scale Resolving Simulation,SRS)模型。在SRS方法中,可以解析部分湍流信息,采用此类方法最著名的是大涡模拟(LES),目前也有不少新的混合模型(结合RANS及LES的模型)出现,由于SRS方法需要利用相对较小的时间步长进行计算,因此计算开销要比RANS方法大得多。
ANSYS Fluent提供了较多的湍流模型,包括:
-
-
-
-
-
Realizable k-epsilon model
-
-
-
-
Shear-stress transport (SST) k-w model
-
-
-
-
Reynolds stress models (RSM)
-
Linear pressure-strain RSM
-
Quadratic pressure-strain RSM
-
-
-
Scale-Adaptive Simulation(SAS)模型,可与一些k-w模型配合使用
-
-
-
-
-
w-based Reynold stress model
-
Detached eddy simulation(DES)模型,可与以下RANS模型配合
-
Spalart-Allmaras RANS model
-
-
-
-
-
Shielded Detached Eddy Simulation(SDES)模型,可配合的RANS模型包括
-
Stress-Blended Eddy Simulaiton模型,可配合的RANS模型包括:
-
Large eddy simulation(LES)模型,包括子模型
-
Smagorinsky-Lilly subgrid-scale modelWALE subgrid-scale model
-
Dynamic kinetic energy subgrid-scale model
-
-
Wall-Modeled LES S-Ω (WMLES S-Ω )
然而很不幸的是,没有哪一种湍流模型能够被普遍接受为对所有类型的问题都是最优的。湍流模型的选择取决于流动的物理特性、所需的精度、可用的计算资源以及时间等因素,因此需要为特定的应用问题选择最合适的湍流模型。
在进行湍流模型选择之前,需要了解每种湍流模型的优缺点。
RANS模型为复杂的湍流工业流动计算提供了最经济的方法。这类方法最为典型的模型为k-epsilon及k-omega模型。这些模型将湍流问题简化为两个附加输运方程的求解,并引入涡流粘度(湍流粘度)来计算雷诺应力。更复杂的RANS模型可以直接为六个独立的雷诺应力建立模型(雷诺应力模型,RSM)。
RANS模型适用于许多工程应用程序,能够提供各种等级的精度。由于没有一个模型是通用的,用户必须决定哪个模型最适合给定的应用场合。
1.1 Spalart-Allmaras单方程模型
Spalart-Allmaras模型是一个相对简单的单方程模型,其求解运动涡(湍流)粘度的输运方程。该模型是专门为涉及壁面边界流动的航空航天应用领域而设计的,并已被证明对受到逆压力梯度作用的边界层具有良好的效果。该模型在旋转机械领域的应用也越来越普遍。
不要将该模型用作通用模型,因为其没有很好地对自由剪切流进行校准,如利用该模型进行射流计算会导致较大误差。
ANSYS Fluent中对Spalart-Allmaras模型进行了扩展,采用y+不敏感壁面处理,能对所有解变量从粘滞子层格式到对应的依赖于y+的对数层值进行自动混合。混合过程进行了校准,其包含Y+出于中间值的过渡层(1

1.2 k-epsilon模型
双方程模型是工业CFD中应用最广泛的湍流模型。该模型求解两个输运方程,利用涡粘方法模拟雷诺应力。ANSYS Fluent中的标准k-epsilon模型属于此类模型,自Launder和Spalding提出提出该模型以来,目前该模型已成为实际工程流动计算的主要模型。
一些k-e模型的弱点是它们对逆压力梯度和边界层分离不敏感。在预测流动分离时,该模型计算值相对于观测值存在延迟,这可能导致对与光滑表面分离的流动(例如,空气动力体、扩压器)的设计评估过于乐观。因此k-e模型在外流空气动力学计算中应用较少。
在ANSYS Fluent中,推荐使用Realizable k-epsilon湍流模型。用户应该使用k-epsilon模型配合使用增强壁面处理(Enhance Wall Treatment,EWT-e)或Menter-Lechner近壁面处理。对于在逆压力梯度下的流动及光滑表面(翼型等)流动分离的情况,一般不推荐使用k-epsilon湍流模型。

1.3 k-omega模型
与ε方程相比,ω方程有几个优点。其中最突出的优点是可以通过粘性子层进行无附加项的方程积分。此优点使得该模型很容易获取稳健的y+非敏感格式。
k-ω模型在预测逆压梯度边界层流动和分离方面具有较好的性能。标准w方程的缺点是计算结果的敏感性相对较强,其取决于剪切层内外的自由流的k与w的值。由于这个原因,在ANSYS Fluent中一般不推荐使用standard k-ω模型。
为避免标准k-w模型对自由流的敏感性,通过将w方程与ε方程结合起来而开发设计了BSL及SST k-w模型。此外还对SST模型进行了校正,以精确计算光滑表面的流动分离。因此,在k-w模型家族中,建议使用BSL或SST模型。这些模型是一些最广泛使用的空气动力流动模型。与Spalart-Allmaras模型相比,它们在预测壁面边界层特征的细节方面通常更为准确。BSL和SST模型(与所有其他基于w方程的模型一样)默认使用y+不敏感的壁面处理。

1.4 Generalized k-w(GEKO)模型
GEKO模型的目标是提供一个具有足够灵活性的单一模型来涵盖广泛的应用领域。虽然默认设置已经涵盖了大多数应用领域,但是模型提供了四个自由参数,可以针对特定类型的应用场合进行调整,而不会对模型的基本校准产生负面影响。这是一个强大的模型优化工具,但需要正确理解这些系数的影响以避免出现错误。该模型具有强大的默认值,因此用户也可以在不使用任何修正的情况下应用模型,用户应该确保任何调优都有高质量实验数据的支持。

在大多数情况下,用户只需要调整Csep来改变GEKO模型对边界层分离的敏感度。下图显示了该参数对扩散器流的影响。当Csep=1时,模型计算结果与k-e模型基本相同(没有分离),当Csep=1.75时,与数据的一致性接近完美(与SST模型相似)。计算中需要更大的Csep值(例如,在模拟高升力翼型时,即使是SST模型也往往低估分离强度)。

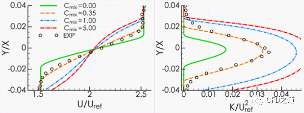
下图显示了Cmix的变化对自由混合层(Csep=2.0)计算的影响。Cmix的增加导致湍流水平的增加和更大的传播速度。

Cnw对后向台阶再附着区域的影响如下图所示。壁面剪切应力系数Cf和换热时的斯坦顿数St均受较大影响。在非平衡区,Cnw的增加导致Cf和St值的增加。在大多数情况下,不需要更改其默认值。

下图为Cjet对平面和圆形射流的影响(Csep=2, Cmix=0.35, Cnw=0.5)。增加Cjet(Cmix是激活的)可以在不改变混合层扩散速率的情况下降低射流的扩散速率。Cjet是Cmix的子模型,因此在Cmix减少的情况下Cjet失效。

1.5 Reynold Stress Models
雷诺应力模型(RSM)包括一些不易用涡流粘度模型处理的流动效应,如由于强旋转和流线曲率(如旋风流)造成的湍流的稳定性问题。另外,RSM通常会显著增加计算时间,一方面由于要求解的方程数更多,另一方面也是由于收敛性降低。而应用RSM模型并不一定能够使计算结果更精确。
因此,一般不建议使用该模型,除非一些已确定采用该模型具有优越性的流动问题,如有强涡流和旋转的流体。若壁面边界层很重要,RSM与ω-或BSL方程的结合比与ε-方程的结合更精确。

1.6 层流-湍流转捩模型
在ANSYS Fluent中可以使用以下三种转捩预测模型。其中两种方法可以与尺度分解方法(SRS)相结合。
-
Transition SST model(也称为γ-Reθ模型)
该模型可与Scale-Adaptive Simulation、Detached Eddy Simulation、StressBlended Eddy Simulation、 Shielded Detached Eddy Simulation 相结合。

-
Intermittency Transition model
该模型也称为γ模型,在一些模型中作为选项激活。这些模型包括BSL, SST, Scale-Adaptive
Simulation with BSL / SST, Detached Eddy Simulation with BSL / SST, Stress-Blended Eddy Simulation with BSL / SST, and Shielded Detached Eddy Simulation with BSL / SST


对于许多测试用例,这三个模型产生了类似的结果。由于与SST模型的结合,通常建议使用Transition SST模型及Intermittency Transition模型。Transition SST模型不是伽利略不变量(Galilean invariant),因此不适用于速度场需要计算的运动壁面;此外,它不适合完全发展的管流/通道流等没有自由流存在的流动问题。在这些问题中,应当使用Intermittency Transition模型。在这三种模型中,只有Intermittency Transition模型能够考虑横向流动的不稳定性。
-
这些模型只适用于壁面有界流动。与其它工程转捩模型一样,它们不适用于自由剪切流动的转捩。他们将自由剪切流作为完全湍流进行计算。
-
这些模型并没有与其他影响湍流模型的源项的物理效应一起校准,例如:
-
并没有对Transition SST 与 Intermittency Transition mode与SRS方法相结合进行特殊的标定。注意,在任意混合RANS-LES模型中,自由流中LES项的激活都会影响自由流湍流的衰减,进而影响转捩位置
-
适当的网格细化和入口湍流水平的规范是准确过渡转捩的关键。
-
一般来说,在网格生成阶段需要做一些额外的工作,因为需要一个具有足够分辨率的低re网格来精确地解析转捩区域。此外,在层流分离发生的区域,为了正确捕捉由分离气泡引起的快速转捩,需要对网格进行额外的细化

-未完待续-
本篇文章来源于微信公众号: CFD之道
评论前必须登录!
注册