本文主要描述ANSYS CFD中近壁面处理方式及壁面函数的选择。
本文内容翻译自ANSYS官方PPT。

1 近壁处理的目的
-
壁面是涡及湍流的主要来源 -
壁面会导致湍流动量边界层:变化最剧烈的位置出现在靠近壁面的区域 -
外部流动的摩擦阻力或内部流动的压力降预测取决于壁面局部剪切预测的保真度 -
钝体的压力阻力与分离区域有关 -
对于多数工业场景CFD模拟,采用非常精细的网格来计算边界层内部的陡峭梯度依然过于昂贵 -
在较粗的计算网格上进行精确的近壁面建模对于大多数工程应用依然非常重要
2 近壁面流动行为
-
子层(Sublayer):粘性力占主导地位 -
对数层(Logarithmic layer):该区域内流动受对数律支配 -
外层(Outer layer):流动取决于平均流动

-
在对数层中,湍动能的产生与耗散几乎相等,称之为湍流平衡(Turbulent equilibrium) -
粘性子层中,湍动能耗散远大于产生
3 近壁面一些物理量
-
附加的物理量: -
与壁面的间距y -
运动粘度γ -
基于壁面剪切应力的一些无量纲变量

-
近壁面处理的目的是为这些无量纲变量找到一个通用的壁面行为
4 近壁面速度

-
粘性子层内 -
分子粘性在动量及热传递中起着主导作用 -
粘性子层内,湍流脉动被抑制,壁面剪切应力几乎全为粘性力,u动量方程可简化为:


-
对数层内 
-
假设该区域内的无量纲速度分布于流型无关(k,C为常数) -
对数层内速度分布为
5 近壁面处理方式
-
壁面函数法(Wall Function Method) -
利用经验公式处理粘性子层 -
剩余的边界层区域依然需要求解 -
低雷诺数方法(Low Reynolds Number method) 
-
输运模型可以跨粘性子层进行积分 -
不涉及任何近壁速度变化的假设 -
需要非常细密的近壁面网格 -
这里的低雷诺数指的是湍流雷诺数
6 标准壁面函数
6.1 标准壁面函数基本介绍
-
基于近壁面网格中心位于边界层对数区的假设,建立一套经验公式 -
平均速度分布 
-
利用局部平衡假设计算壁面邻接网格内的湍动能与湍流耗散率 
-
当第一层网格中心位置不正确(落到粘性子层内部或对数层外部)会导致不正确的计算结果。控制第一层网格节点放置于对数层其实不太容易。

6.2 精细网格误差

-
随着网格细化,第一层网格节点落入粘性子层,而壁面函数依然呈对数分布,这显然不一致 -
使用标准壁面函数,用户会因为网格细化而受到惩罚 -
使用标准壁面函数是危险的,并不建议使用
6.3 粗网格误差
-
中低雷诺数流动中存在粗网格误差 -
在这些流动问题中,边界层边缘可以低至y+~150 -
当第一层网格中心至于y+~50位置时,边界层内只有少量计算网格,从而导致计算误差 -
壁面函数限制了中低雷诺数流动边界层内的网格分辨率

7 Scalable壁面函数
-
为壁面标准壁面函数的精细网格误差,在y+计算中引入限制器,使y+=min(y+,11.067) -
使壁面与网格中心之间的距离等价于y+=11.067 -
减小了y+依赖 -
然而,即使是精细计算网格(y+~1),依然忽略了粘性子层的厚度 -
性能比标准壁面函数更好,但依然不是最优的选择

8 Y+不敏感壁面处理
-
目标是使得计算结果对第一层网格单元的y+值不敏感 -
通过混合子层和对数层表达形式来实现 -
该概念有许多历史名称 -
Fluent及CFX中的ω系列模型采用的自动壁面处理 -
Fluent中ε系列模型中的增强壁面处理(Enhanced Wall Treatment,EWT) -
只有当y+值较大时,计算求解才合理地对y+不敏感 -
边界层内有足够多的计算网格 -
求解接近平衡(无压力梯度及分离) -
解析边界层的网格数量取决于精度要求 -
网格数量 -
对于飞机模拟,边界层内使用多于30~40层网格单元 -
大多数工业模拟,10~15层网格足够 -
一些更复杂的模型,也常使用更少的计算网格
9 检查边界层分辨率
-
边界层要求最小分辨率才能得到精确计算结果 -
定义物理量EVR以显示边界层分辨率是否足够



9 Fluent中的近壁面模型
9.1 ε系列模型
-
Enhanced Wall Treatment(EWT):y+不敏感双层模型,在网格足够精细时,可求解粘性子层内的流动及传热。 -
Scalable Wall Functions:y+不敏感模型,不求解粘性子层,无论网格多么精细

-
其他壁面函数选项是历史遗留选项,当今很少使用
原话是这么说的:Other options can be considered legacy options that are rarely, if ever, used in the present day
9.2 ω系列模型
-
所有基于w的模型都采用了自动壁面处理,因此无需选择近壁面处理方案

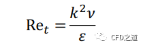
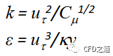
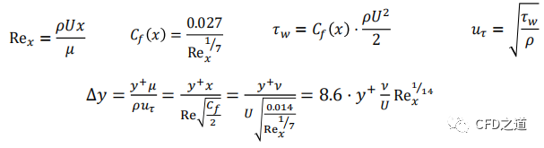
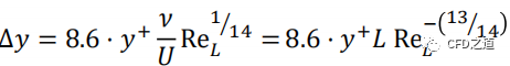
10 Y+估计



注:Y+估算方法有很多,这里只是其中的一种。

本篇文章来源于微信公众号: CFD之道








评论前必须登录!
注册