
计算公式如下:
1、雷诺数
计算方式:

来源:任何一本流体力学教材。
2、湍流强度
湍流强度采用以下公式进行计算:

公式来源:Fluent用户文档7.4.2.1.3。
3、湍流长度尺度
计算公式为:

其中湍流参数Cmu 为常数0.09。
公式来源:Fluent用户文档7.4.2.1.4。
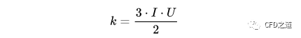
4、湍动能
计算公式为:

其中I为湍流强度,U为平均速度。注意公式打错了,应为3/2*(IU)^2
公式来源:Fluent用户文档7.4.2.1.8。
5、湍流耗散率
计算公式为:

公式来源:Fluent用户文档7.4.2.1.9。
6、湍流粘度比
先计算湍流粘度:

再计算粘度比:

其中分母为流体动力粘度。
公式来源:Fluent用户文档7.4.2.1.7及7.4.2.1.5。
6、比耗散率
比耗散率计算方式:

公式来源:Fluent用户文档7.4.2.1.13。

本篇文章来源于微信公众号: CFD之道








评论前必须登录!
注册