前面提到了CFD-Post,其实专业用于CFD后处理的软件也不少,比较著名的如Tecplot 360、FieldView、Ensight、ParaView等。
注:前不久ANSYS收购了Ensight。
后处理软件比拼的是大模型操作的流畅性、数据接口的完整性以及显示效果。在这些方面,Tecplot 360的表现都很不错。
注意:Tecplot公司的产品包括Tecplot 360、Tecplot Focus及Tecplot RS,其中360是用于仿真数据可视化处理的,而Focus则是一个工程科学绘图软件,类似Origin,Tecplot RS是一款油藏数值模拟可视化分析软件。关于Tecplot的更多介绍,可访问其官方网站:http://www.tecplot.com/
上次在发布CFD-Post处理瞬态数据的文章之后,不少小伙伴留言说做一期Tecplot处理瞬态数据的教程。其实Tecplot做后处理还是较为简单的,然而这软件的界面逻辑性设计得并不好,学习成本有点儿高,很多初次接触的人常常会迷失。本次以一个简单的案例描述Tecplot处理CFD数据的基本功能。
本案例采用上次CFD-Post演示时使用的计算数据。
-
启动Tecplot,选择菜单File → Load Data…打开文件选择对话框
-
选择所有的cas与dat文件
-
点击Open按钮导入数据

先查看云图分布。
-
选择激活Plot面板中的Contour选项

-
点击Details…按钮,弹出云图设置对话框
-
选择物理量为X Velocity可查看速度云图

-
点击Colose按钮关闭对话框
-
可以点击Plog面板中的动画播放按钮,显示速度动画

Tecplot中已经集成了Q准则计算,只不过需要手动设置计算。
-
选择菜单Analyze → Calculate Variables…

-
选择Select…按钮,在弹出的列表框中选择Q Criterion,点击OK按钮返回至Calculate对话框

-
点击Calculate对话框中的Calculate按钮进行计算
-
点击Plot面板中Contours右侧的Details…按钮,在弹出的对话框中选择变量Q Criterion,点击Close按钮

默认的Contours levels对比不强烈,下面修改其范围。
-
删除Contours Levels列表项中的所有选项,点击按钮Set Levels…按钮,设置最小值为0,最大值为0.15,等级数量为10,点击OK按钮

此时点击动画播放按钮,图形窗口中的Q值动画显示如图所示。

-
点击动画按钮右侧的Details…按钮弹出Time Animation Details对话框进行动画设置

在对话框中可以设置一些基本参数,一般情况下不需要改变。

-
点击Export to file按钮,可以将动画输出到文件中

-
设置Export format格式,点击OK按钮输出文件
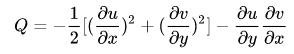
上文已经提到过Q值的计算公式:

下面自定义这个公式。
-
选择菜单Data → Alter → Specify Equations,弹出公式定义对话框

-
点击Data Set Info…按钮查看变量信息

定义Q函数需要两个变量:X Velocity与Y Velocity,从Variable列表框可以看到,这两个变量编号分别为4和6,在定义公式时,分别用V4和V6表示X Velocity与Y Velocity。
-
点击Close按钮关闭变量信息对话框并返回至Specify Equations对话框
-
在Equations文本框中输入函数定义
{Q}=-1/2*((ddx(v4))**2+(ddy(v6))**2-ddy(v4)*ddx(v6)

-
点击Compute按钮定义方程
-
点击Close按钮关闭对话框
此时可以选择之定义的变量进行显示了。
-
点击Contours右侧的Details…按钮,选择变量Q

-
设置level为0~0.1,可以看到云图显示与系统预制的Q Criterion的显示是一致的。

Tecplot导入Fluent数据后,并没有合速度,这里可以采用上述方式自定义速度。

有时候可能需要检测某一位置的速度随时间变化规律,这在Tecplot中很容易实现。
-
选择菜单Tools → Probe To Create Time Series Plot

-
在图形窗口中需要监测的位置点击鼠标左键,即可绘制该位置物理量随时间变化曲线

此时可以调整位置,修改曲线样式等使图形更美观。
本案例只是简单的描述了Tecplot的使用过程,其实在进行后处理过程中还有很多其他的工作要做,以后有机会在详细描述。
英雄,麻烦点一下下方广告以示赞助呗~
本篇文章来源于微信公众号: CFD之道








评论前必须登录!
注册