本案例计算管道内部泊肃叶流动压降。案例几何如图所示。

管道半径0.00125m,长度0.1m,内部介质密度1 kg/m3,粘度1e-5 kg/m-s。管内入口流动为充分发展层流,平均速度为2 m/s。
充分发展层流边界需要编辑UDF文件。
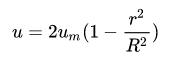
充分发展速度表达式为:

程序代码可写为:
#include "udf.h"DEFINE_PROFILE(inlet_velocity,t, i)
{
real x[ND_ND];
real y;
face_t f;
begin_f_loop(f,t)
{
F_CENTROID(x,f,t);
y=x[1];
F_PROFILE(f,t,i) = 2* 2*(1- y * y / (0.00125*0.00125));
}
end_f_loop(f,t)
}
验证解析解来自F. M. White. Fluid Mechanics(7nd ed),p357。
本案例雷诺数为:

泊肃叶流动摩擦系数:

可得压降:

1、速度分布
速度分布如图所示。

2、压降计算
进出口总压统计如图所示。

可以看到入口总压12.89Pa,出口总压2.68Pa,则系统总压降10.21 Pa。
本篇文章来源于微信公众号: CFD之道









评论前必须登录!
注册