本案例利用Fluent计算并验证压力梯度下两平面间库艾特流动。
1 案例描述
本案例模拟两个平行板之间的粘性流动。其中底板保持静止不动,顶板以恒定速度3 m/s移动。沿板平行方向压力梯度为-12 Pa/m。
如图所示。

计算采用2D周期模型,长1.5m,宽1 m。其中介质参数:密度1kg/m3,动力粘度1 kg/m-s。
采用边界条件为:
-
顶板:壁面边界,速度沿X方向3 m/s
-
底板:固定壁面边界
-
左右周期边界: 压降-12 Pa/m
2 模型验证
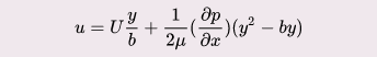
解析解来自B.R. Munson, T.H. Okiishi, W.W. Huebsch, Fundamentals of Fluid Mechanics, 7th Edition,P324(可以在这里找https://pan.baidu.com/s/1qYtuNhE)。


其中,U为顶板移动速度,本案例为3m/s;b为平板间距,本案例中为1 m。代入本案例中的计算条件,可得到速度表达式:

3 Fluent计算设置
采用2D轴对称模型进行计算。
-
以2D、Double Precision模式启动Fluent
3.1 General设置
-
鼠标双击模型树节点General,右侧面板激活选项Axisymmetric采用轴对称模型

3.2 Models设置
本案例采用层流计算,Models节点保持默认设置。
3.3 Materials设置
-
鼠标双击模型树节点Materials > Fluid > air弹出材料属性设置对话框,修改其名称为couette_fluid
-
如下图所示,设置Density为1 kg/m3
-
设置Viscosity为1 kg/m-s
-
点击按钮Change/Create修改参数

3.4 Boundary Conditions
1、top_wall
-
鼠标双击模型树节点Boundary Conditions > top_wall弹出设置对话框,激活选项Moving Wall,设置Motion为Translational,并设置Speed为3 m/s
-
其他参数默认设置,点击OK按钮关闭对话框

2、outlet
-
鼠标双击模型树节点Boundary > outlet,点击弹出菜单项Type → pressure-outlet设置边界类型为压力出口,其他参数保持默认设置

3、设置周期条件
-
鼠标双击模型树节点Boundary Conditions,点击右侧面板按钮Periodic Conditions…,弹出设置对话框,如下图所示,设置Type为Specify Pressure Gradient,指定Pressure Gradient为-12 pa/m

3.5 Methods
-
鼠标双击模型树节点Methods,右侧面板如下图所示进行设置

3.6 Controls
-
鼠标双击模型树节点Controls,右侧面板如下图所示进行设置

3.7 Monitor
-
双击模型树节点Monitors > Residual,弹出设置对话框,如下图所示设置残差标准为

3.8 Initialization
-
右键选择模型树节点Initialization,点击弹出菜单项Initialize进行初始化

3.9 Run Calculation
-
鼠标双击模型树节点Run Calculation,右侧面板如下图所示,设置Number of Iterations为5000
-
点击按钮Calculate开始迭代计算

计算在39步收敛,计算总耗时16秒(至强X5650单核,内存16 G 计算 )。残差如下图所示。

4 计算结果
-
绘制x=0.75m位置x-velocity分布,并与解析解比较,如下图所示

验证状况良好。
文件链接:
链接:https://pan.baidu.com/s/1Ps410Q7q16C5n8JlYe3fcw 提取码:x9m5
本篇文章来源于微信公众号: CFD之道








评论前必须登录!
注册