首先说说什么是空化。按照百度的解释| “液体内局部压力降低时,液体内部或液固交界面上蒸汽或气体的空泡的形成、发展和溃灭的过程”。看完这段话,你可以放弃理解空化的幻想。
让我用人话重新说一遍| 某液体比如水,当哪个位置的压强低于饱和蒸汽压,那个位置的水会变为水汽,水汽聚集后鼓起泡泡,于是我们看到了“空泡”,这个过程我们叫“空化”。
你马上想到了,空化过程就是大家每天会看到的现象——烧开水。
水烧到一百度,水的饱和蒸汽压达到一个大气压,这个时候水快速汽化为水汽。这个现象也叫“沸腾”。
水在20度的时候,水的饱和蒸汽压只有1/43个大气压,比一个大气压小太多。所以,放在碗里的凉水被一个大气压牢牢地压在液体里,不会发生空化。
你想到,让水在20度空化,可以这么做:
1、把水外面抽真空,压强降低到1/43个大气压。
2、把水送到1.5万米的高空,那里气压只有1/43个大气压。
专业的工程师则不用抽真空,就可以让水在20度、在一个大气压下空化。就是让水快速动起来。
水中的物体快速运动,带动四周的水运动;物体跑得越快,导致四周水的空化越强烈,空泡也会越大。
超空泡:工程师利用这个特性,设计出超空泡。当物体在水中的速度达到每小时一千公里这种量级。产生的空泡环绕在物体四周,把头部之外的表面都包裹住了。
物体与水之间隔着一个大空泡,物体只感受到气的摩擦力,这可比水的摩擦力小多了。总的阻力可以减小到没有超空泡的1/5以下。
如何产生包裹住水中物体的超空泡,大幅减小阻力,让物体在水中航行得和空中一样快,这是工程师的一个创举。
抑制空泡:更多的时候,工程师要抑制空泡产生,避免空泡带来的危害。空化产生的空泡不断地生成和溃灭,噼噼啪啪地不断侵蚀表面,把水中的物体咬得像被狗啃的,专业上叫“空蚀”。
另一方面,空泡噼噼啪啪的噪声,还会被对方的声呐探测到,提前暴露自己的位置,很让人讨厌。
跑的越快空泡越大,这个特点对设计水中快速运动的物体很不利。如何在水中既跑得快又没有空泡,也是工程师要解决的难题。

当一位工程师说他在研究空化,你可以问问,他是在努力做出大大的超空泡,还是努力消除空泡?
为什么有的物体在水中会产生大大的空泡,而有的不容易产生空泡?
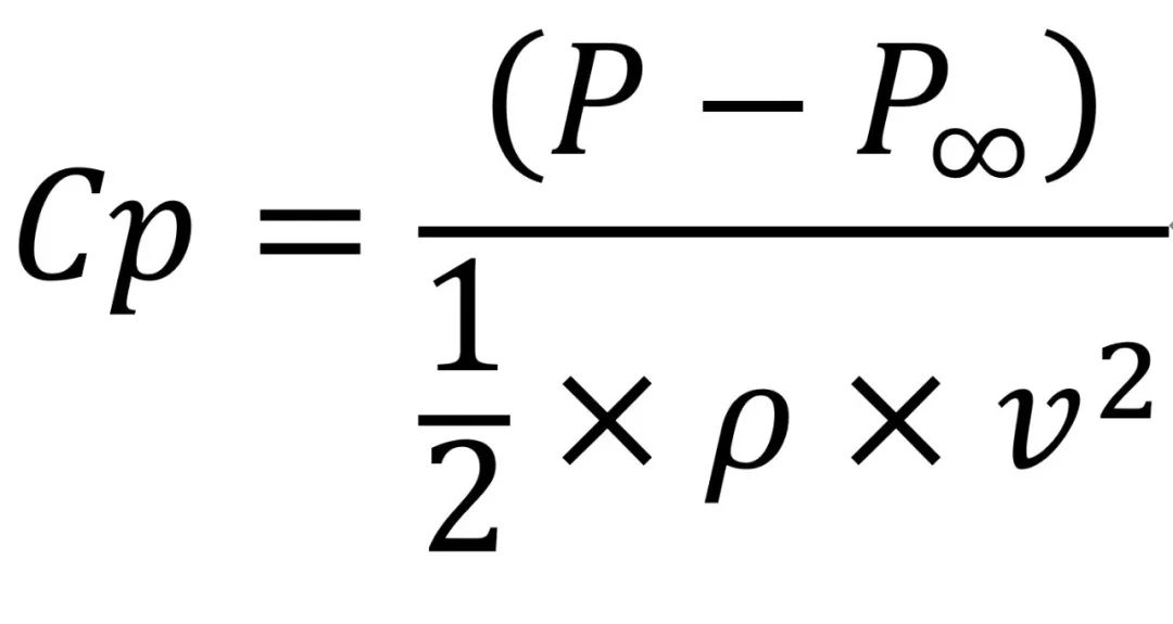
这么专业的问题,我们只需用一个简单的Cp(压力系数)解释。
认真看几眼压力系数的定义,其实就是把环境压强和速度的影响都剔除了。
对于水这种不可压缩流(因为水中的声速太快了1500m/s,水中几乎没有可以接近声速航行的物体,所以我们可以假定水是不可压缩流),只要在某个状态下,计算出Cp,就可以用Cp换算在其他速度和水深下的当地压强。
举例说明,如何计算水中物体的表面某个点,在多快速度和多大水深会发生空化:
1、用普通的CFD软件仿真水的流动状态。
环境压强为一个大气压(101325Pa,相当于水深为0)
CFD仿真结果显示,某个点的压强为50000Pa。
求压力系数
=-1.0
求这个点的压强

这个点的压强这么低,大约在20度的温度,水就会在此处空化。
求发生空化的临界速度和深度
环境压强
水深
=(环境压强 — 一个大气压)/(密度X重力加速度)

曲线右侧,压强小于饱和蒸汽压,有空泡。
当Cp从-1.0增大到-0.5,无空泡的区域明显增大了。
所以,工程师通过改变形状,改变Cp,获得产生空泡或者抑制空泡的效果。
Cp略微高一点的是这样的:


(设计优秀的流线型外形,Cp的最低点可以提高到-0.3的水平)这个外形是半球头,还是很容易产生空泡。
如果要设计大大的超空泡,工程师就设计能让Cp特别小的形状。一般是有棱有角的形状。
如何要抑制空泡发生,工程师就设计Cp接近0的形状,一般是流线型。
用最普通的方法计算出水中物体壁面的Cp分布,用本文的办法就可以预计物体的某个位置,在什么速度、水深会产生空泡,画出临界线。
至于产生空泡后,空泡有多大,长什么样子,对流动有多大影响?那些就是空化模型的故事,本文不再讲述。
本篇文章来源于微信公众号: 陆姐说
评论前必须登录!
注册