CFD++是国际著名的CFD求解器,极擅长外流场计算,在航空航天领域应用非常广泛。本系列教程翻译自CFD++随机文档,软件版本为V14.1。
本案例从导入网格文件开始,包含后续的计算参数设置、计算其纠结以及CFD+ Visualizer后处理。本案例利用CFD++软件计算2D双喉道喷嘴中的流场分布。案例雷诺数很小,可以忽略湍流,采用层流计算。
由于这是第一个例子,我们将使用GUI中的“Interview Mode”来设置计算。强烈建议经验较少的用户使用此模式,因为它提供了生成mcfd.inp文件所需的所有阶段的用户友好的操作指南。
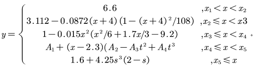
这个测试用例最初出现在12月在法国尼斯举行GAMM主办的研讨会1985年这种情况下故意设计了适度的流动梯度和雷诺数删除动荡和不稳定的不确定性。这里将利用这样的事实,即假设喷嘴关于其轴线是平面对称的,并且只对完整几何体的一半进行计算。弯曲的喷嘴壁由两个收敛/发散喷嘴部分组成,由五段圆弧成:

式中,t=(x-2.3)/4.7,s=(x-7)/7,且 A1 = 1.55664025, A2 = 0.378235, A3 = 1.097803085, A4 = 0.7287935638.
-
启动CFD++,设置工作目录,定位到防止网格文件的文件路径,点击按钮Accept and Exit读取网格

-
弹出询问对话框,点击OK按钮分析网格文件

-
在弹出的对话框中设置要检查的网格信息,点击Run Tool按钮进行网格检查

-
弹出对话框显示网格信息,包括网格数量,边界信息等,如下图所示,点击Proceed按钮关闭对话框

-
图形矿中显示计算域几何,如下图所示

-
选择菜单File → Interview Mode启动interview导航模式
-
点击按钮Proceed with Interview按钮进入下一步

-
点击Equation Sets按钮进行方程设置

-
在弹出的方程定义对话框中,鼠标双击New_information_set列表项弹出新的对话框

-
在弹出的对话框中选择Viscous Terms为yes,设置Turbulence Model为none-laminar if viscous,点击按钮Accept and Exit关闭此对话框并返回至方程定义对话框

-
在方程定义对话框中,选中列表项info_set#1,点击按钮Apply and Exit关闭对话框

-
在弹出的参考值对话框中,选择Dimensional按钮,点击按钮Apply and Exit关闭对话框

-
弹出确认对话框,点击Proceed按钮

-
继续点击Proceed按钮

-
在弹出的Riemann Solvers对话框中,选择LHS and RHS选项,激活Supersonic选项,如下图所示,点击按钮Apply and Exit关闭对话框

-
点击按钮Physics info,进入材料定义对话框

-
采用默认材料参数,点击按钮Apply and Exit关闭对话框

-
点击按钮Initialize进入初始化对话框

-
弹出的初始化对话框中,选择选项P,r,u,…,点击按钮Set New/Edit Init按钮

-
在弹出的对话框中,双击列表项New_information_set弹出新对话框

-
如下图所示定义初始条件,点击按钮Apply and Exit关闭对话框

-
在Interview Navigation对话框中点击按钮BC's打开编辑设置对话框

-
弹出的对话框中点击按钮Proceed打开新的边界条件编辑对话框

-
如下图所示,双击列表项inlet打开入口边界条件编辑对话框

-
指定入口条件Group及Sub-Group均为inflow/Outflow,设置Boundary Condition为Infow-Stagnation Pressure and Temperature,点击按钮Apply Choices

-
双击列表项New_information_set打开新的对话框

-
按下图所示进行设置,点击按钮Accept and Exit关闭对话框

-
按下图参数进行设置

-
双击选项supersonic_outflow,弹出边界设置对话框

-
按下图所示进行设置,点击按钮Apply Choices

-
按下图所示进行设置,点击按钮Accept and Exit关闭对话框

-
双击列表项Wall,弹出边界设置对话框

-
按下图所示设置参数

-
双击列表项New_Information_set

-
设置温度为288.2 K,点击按钮Accept and Exit关闭对话框

-
按下图所示进行设置,点击按钮Apply Choices及Accept and Exit

-
双击列表项Symmetry

-
按下图所示进行设置

-
点击Exit按钮关闭对话框

-
点击Cell Type进行设置

-
采用默认设置

-
点击Time Int按钮

-
按下图进行设置

-
按下图参数进行设置

-
点击按钮Spatial Dis.

-
采用默认设置

-
点击OK按钮完成向导设置


本篇文章来源于微信公众号: CFD之道








评论前必须登录!
注册