序言
近几年来,中国新能源汽车行业发展迅猛,作为新能源汽车关键动力单元的新能源电池也随之蓬勃发展。一方面,电池设计愈发追求高能量密度,以满足日益增长的续航里程要求,另一方面,电池的安全性被愈发重视,相关国家法规也陆续出台,同时受整车设计周期被大幅度压缩的影响,电池系统的设计迭代周期也随之减少,这对电池系统的快速、可靠、安全设计提出越来越高的要求。
在电池系统的研发过程中,传统的试验测试方法由于花费昂贵、周期长等特点不符合当前快速迭代设计的节奏,高效的电池仿真设计逐渐被广泛采用。对仿真而言,模型的前处理环节,也即几何前处理及网格生成一直占非常大的比重,在以往统计的数据中,前处理甚至会占到60-80%的时间,如何压缩这部分时间对于提高整体设计效率极为关键。Ansys在最近发布的几个软件版本中,Fluent Meshing在压缩网格划分时间上带来了突破性的技术革新,在保证网格质量的同时,大幅度降低了Fluent Meshing的学习门槛并且极大程度上减少了网格划分时间。
Fluent Meshing网格划分流程
从Ansys 2019 R1开始,Fluent Meshing引入了一种全新的交互式环境,也即基于流程的工作模式,包括:干净几何网格流程(watertight mesh: 简称WTM)和容错几何网格流程(fault-tolerant mesh: 简称FTM)。在这两种流程中,用户只需按照流程节点中提示的信息进行非常少量的输入,就可以快速生成高质量的计算网格,同时也可以将最佳网格划分流程进行固化和复用,进一步提升了效率。

WTM流程(左)和FTM流程(右)
而在最新发布的Ansys 2020 R2版本中,Fluent Meshing根据常见电池包的结构特点,专门制作了电池包网格划分的最佳实践流程。主要思路如下:按照电池结构特点,分为可复制最小单元和不可复制单元,分别进行面网格生成,并将可复制单元面网格进行阵列,然后将整体面网格进行合并,随后生成体网格。由于大多数电池包模型比较规整,涉及到复杂模型曲面较少,因此推荐使用干净几何网格流程(WTM)来进行。

在WTM中根据电池特点进行网格划分流程
除上述特征外,Fluent Meshing相较传统的网格划分工具和方法还有以下两个明显优势:
1. 独特的Mosaic网格。在计算域核心位置使用六面体网格,保证质量并减少网格数量,在边界层和贴体位置使用多面体网格,保证贴体性。

Fluent Meshing独有的Mosaic网格
2. 极高的并行效率。Fluent Meshing有类似线性的并行扩展效率,在所有商业软件中为最高水平。同时,高并行效率使得网格生成时间大幅度减少,以正常模型为例,Fluent Meshing可以达到一分钟生成一百万网格的速度。

Fluent Meshing拥有极高的并行扩展效率
WTM流程电池模型网格划分
WTM干净几何流程对几何模型有一定要求,需要在进行网格划分之前尽可能的使得模型“干净”,不存在诸如影响模型拓扑结构的缺失面、干涉等特征,也尽可能减少诸如重复线、断线、断面等可能导致网格过度加密的特征,同时也尽可能去掉诸如螺栓孔、倒圆、倒角等对CFD结构影响不大的非CAE特征。关于如何处理上述所说的非CAE几何特征,还可使用Ansys SpaceClaim (SCDM) 这款定位于从CAD到CAE的几何前处理软件,它内置了诸如抽取流体域、一键修复几何、批量去除特征、共享拓扑、参数化建模等诸多功能。

使用SCDM对电池冷却水流道一键生成流体域
基于上述介绍,在Fluent Meshing WTM流程中进行电池网格划分有两个思路:
方法一,将所有几何模型在WTM按照流程一次性生成体网格;
方法二,将电池结构中可复制单元和不可复制单元分别生成面网格,然后在WTM中通过阵列及面网格合并生成整体面网格,最后生成体网格。
接下来我们将分别就两种思路进行详细的视频展示。
方法一:
Ansys Fluent Meshing WTM Battery Meshing Demo
方法二:
NEW Demo Contest Battery Navid
成功案例:中航锂电[1]
中航锂电(CALB)使用Fluent Meshing对其锂电池模组及Pack模型进行网格划分,相对传统的网格方法,使用WTM流程可极大程度减少网格划分的工作量及时间,同时得到了低数量高质量的计算网格,这给其进行设计迭代带来更多空间,提升了工作效率。

中航锂电电池模组模型

使用Fluent Meshing得到的模组整体网格共1641万网格
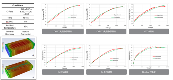
中航锂电随后使用Fluent Battery Model对其进行了电化学仿真,并将仿真结果与试验结果进行了对比,由下图可知,仿真结果与试验结果无论定性趋势还是定量数值均吻合较好,在整个仿真过程中实现了误差在±2℃的精度,展示了Fluent对客户产品设计强大的指导能力。

仿真与试验结果对比在±2℃
综上所述,基于便捷、高效的几何前处理工具Ansys SCDM和全新包含多面体网格划分功能的集成式网格划分工具Ansys Fluent Meshing,仿真工程师可高效完成复杂电池模型的几何前处理工作并快速生成高质量网格,大大提升电池仿真分析的效率!
参考文献
【1】王翔 . 等效电路双向耦合法锂电池热管理仿真分析[C] . 2020全球汽车热管理系统创新技术大会-ECA .电池热管理&热失控论坛
全新体验的Fluent Meshing | 在燃气涡轮中的应用
Art of Simulation | CFD在车灯设计中的应用
全新体验的Fluent Meshing | 在飞行器外气动分析中的应用
全新体验的Fluent Meshing | 在汽车外气动和热管理中的应用
直播回放 | 新一代Ansys FLUENT流程化网格前处理技术
全方位实时连接Ansys最新动态
了解更多工程仿真资讯、产品介绍与更新以及行业最新趋势
立即订阅Ansys官方邮件推送,实时掌握精彩内容!
立即订阅
*我希望收到Ansys及其合作伙伴的信息更新及推送,我可以随时取消订阅。Ansys隐私声明
本篇文章来源于微信公众号: Ansys 流体大本营








评论前必须登录!
注册