上次演示了利用CFD-Post处理稳态仿真结果的基本流程,见【软件速递】CFD-POST。这次来看看瞬态数据的处理过程。
瞬态数据与时间相关,其通常包含有多个时间点数据,因此瞬态数据处理过程类似于处理多个稳态数据。与稳态处理不同的是,将多个时间点上的状态合在一起,还可以输出物理量随时间变化规律,以及输出动画。
下面以一个简单的案例来描述瞬态数据的处理方式。对于与稳态数据相同的部分,这里略去不提,重点描述输出物理量随时间变化以及动画制作方式。
这里导入的数据来自于Fluent的计算结果。
-
启动CFD-Post,选择菜单File → Load Results…打开文件选择对话框
-
选择第一个cas文件,如下图所示

注意:这里仅仅只需要选择第一个时间序列的cas即可,CFD-Post会自动搜寻当前目录下其他的dat文件,注意文件的命名规则,这是Fluent自动保存形成的文件序列。
-
选择选项Load complete history as:及A single case
-
点击Open按钮导入文件
-
选择菜单Tools → Timesteps Selector,弹出时间步选择对话框,如下图所示

在此对话框中可以选择导入任意时刻的数据。下面先导入最终时间步数据进行流场分析。
-
在Timesteps Selector对话框中,选择时间为21s时刻,如下图所示,点击Apply按钮导入数据

在类似于本案例的圆柱绕流问题中,常用Q准则来显示涡的强度。CFD-Post其实已经包含了Q变量,不过这里为了演示自定义变量的处理方式,我们手动定义个Q变量。
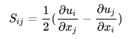
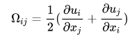
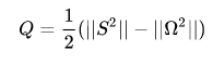
2.1 关于Q准则
Q准则的计算方式是这样的:
先计算应变率张量:

在计算涡量:

则计算Q值:

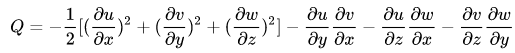
简化到三维笛卡尔坐标系下的Q值为:

本案例为2D模型,故还可简化为:

2.2 定义表达式
在CFD-Post中定义变量,需要先定义表达式。
-
进入Expressions面板
-
点击鼠标右键选择菜单New,弹出新建表达式对话框,命名为q
-
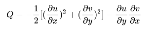
在下方的Definition面板中输入表达式:
-1/2*(Velocity u.Gradient X^2+Velocity v.Gradient Y^2)-Velocity u.Gradient Y*Velocity v.Gradient X

注意:表达式中的各种变量可以通过在空白处点击鼠标右键进行选择。
-
点击Apply按钮完成表达式创建
2.3 定义变量
表达式定义完毕后,还需要以此表达式为基础定义变量。
-
切换到Variables标签页,空白处点击鼠标右键,选择菜单New…弹出变量创建对话框
-
命名变量为q criterion,点击OK按钮创建变量

-
在下方定义窗口中,选择Method为Expression
-
设置Expression为前面创建的q
-
点击按钮Apply完成变量创建

将变量显示在symmetry 1面上。
-
双击模型树节点Symmetry 1
-
属性窗口中Color标签页中,设置Mode为Variable
-
设置Variable为上面创建的q criterion
-
选择Range为Local
-
点击Apply按钮

图形窗口中云图显示如下图所示。

发现看不清楚,重新修改symmetry 1参数。
-
设置Range为User Specified
-
设置Min为0,设置Max为0.3,如下图所示

此时显示云图如下图所示。

可以显示动画效果。
-
选择菜单Tools → Animation弹出动画制作对话框
-
选择Timestep Animation选项
-
激活选项Specify Range for Animation,并设置起始时间步与终止时间步
-
设置Repeat为1
-
激活选项Save Movie,并设置文件保存路径
-
选择视频文件格式Format为MPEG4
-
点击三角形按钮Play the Animation进行动画制作

这里制作的是时间步动画。其实如果时间步太多的话,也可以制作关键帧动画。制作完成的动画如下图所示。

在瞬态计算中,最为重要的目标是获取物理量随时间的变化规律。
-
选择菜单Insert → Location → Point创建点,以默认名称Point 1命名
-
属性窗口中设置点的坐标为[3 0 0.7],点击Apply按钮创建点

-
选择菜单Insert → Chart插入曲线图
-
属性窗口中,设置General标签页,选择Type为XY - Transient of Sequence

-
进入Data Series标签页,设置Data Source为Location,并选择Point 1

-
进入X Axis标签页,可以看到软件自动选择了X坐标为Time

-
进入Y Axis标签页,设置Variable为Velocity

-
点击Apply按钮生成该坐标点位置速度随时间变化曲线

曲线的精细程度与所导入的时间点数据密切相关。由于本案例导入的时间数据不够多,因此绘制的曲线并不光滑。可以将数据导出到其他专业后处理软件中绘制光滑的曲线图。
本案例以一个简单的模型描述了CFD-Post处理瞬态模型的基本流程。包括自定义变量、动画制作以及输出物理量随时间变化曲线。
本文的案例文件可在这里自行领取:链接: https://pan.baidu.com/s/1bFZyz0 密码: qjwb

本篇文章来源于微信公众号: CFD之道









请问怎么保存cfx计算的结果然后设置成动画呢?