在流体计算中,常会碰到多孔介质的情况,如流体经过过滤网、通过换热器的管束等。Fluent中提供的多孔介质模型将多孔结构简化为一个动量源,在建立几何模型时,可以不用建立复杂的几何结构。
多孔介质区域设置面板如下图所示。


面板中需要设置方向向量及各方向的粘性阻力及惯性阻力。
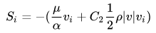
多孔介质在建模时被简化为一个动量源项附加在标准流动方程上。该源项包含两部分内容:粘性损失项及惯性损失项。可表示为:

其中,Si为第i(x,y,z)个动量方程;|v|为速度值;Dij及Cij为指定的矩阵。式中右边第一项为粘性损失,第二项为惯性损失。
此方程可以写成简化形式:

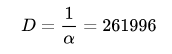
式中,α为渗透率,C2为惯性阻力系数。因此可以指定对角矩阵D及C为1/α与C2。
如下表中所示的压降与速度关系实验数据:
| 速度(m/s) | 压降(pa) |
|---|---|
| 20.0 | 197.8 |
| 50.0 | 948.1 |
| 80.0 | 2102.5 |
| 110.0 | 3832.9 |
可以通过数据拟合得到以下压降与速度关系表达式:

式中,Δp为压降,v为速度。
假设多孔介质区域厚度为Δn,则压降:

则有:

案例中介质密度ρ=1.225kg/m3,区域厚度为1m,则可计算得到惯性阻力系数:

相同的方法,有

案例中介质粘度μ=1.7894e-5,则可计算得到粘性阻力系数:



本篇文章来源于微信公众号: CFD之道








评论前必须登录!
注册