来源:姬扬科学网博客
作者:姬扬
前几天,看到肖建华老师的博文《高分子溶液爬杆效应-直觉与理性》,才知道存在一种奇妙的现象:圆筒容器有一个棒转动时,高分子溶液在杆处形成一个凸面,与水溶液在杆处形成一个凹面恰好相反。肖老师说他有一套方法可以给出这个凸面的解析解,但是要过几年才出来。
这也让我想起今年八月份的一件事,北京邮电大学的肖井华老师介绍教学经验的时候,说他指导本科生做项目,“水油二相旋转液体加速过程分界面形态分析”,最后结果发表在American Journal of Physics上。
碰巧我也在教大学普通物理的《力学》,里面也有一点点流体力学的内容,觉得这些问题都可以定性地理解,所以就打算试一试。
一、往水桶里装些水,绕着垂直于地面的竖直轴转动水桶,水面就会凹陷下去。
著名的“牛顿水桶实验”跟这个有些关系,牛顿试图用它来说明绝对空间的存在性。我讨厌探讨这些问题,所以就不多说了。只是把这件事作为一道力学习题,求解旋转水桶里的水面轮廓。
这是标准的力学习题。在舒幼生《力学》第二章例1里,对水面上一个微元进行受力分析,重力和支持力的合力提供了这个微元转动所需要的向心力,就可以得到这是个抛物旋转面。
还有一种简单的分析方法。选择一个平面,完全位于水面以下,考虑这个面上的一个微元,转动角速度为ω,到转动轴的距离为x,微元厚度为dx(沿着径向),面积为dS,到水面的高度为h(x)那么同样有向心力公式可知

左边是向心加速度,右边是微元两侧收到的流体压力的差,由此可知

也就是说

这就是开口向上的抛物面。水面是凹陷下去的,最中间的地方,高度最低。
需要注意的是,这里没有考虑液体的粘性,认为所有液体都是以相同的角速度转动的。
二、如果桶里装上两种液体,情况会稍微复杂一些⁽¹⁾。
假设这两种液体不能混合(否则就是一种液体了),放在桶里,上层液体密度为ρ1,转动角速度为ω1,下层液体密度为ρ2,转动角速度为ω2。最初的时候,二者角速度都为零;最后的平衡状态,二者角速度都为水桶的转动角速度。但是在达到平衡之前,角速度密度ω1和ρ2是可以不一样的,因为这取决于液体的粘度系数。
显然,上层液体的液面仍然为开口向上的旋转抛物面,

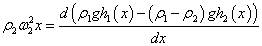
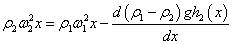
下层液体深处,仍然可以用向心力公式来描述



由此可得,

所以,下层液面仍然是旋转抛物面,但是开口既可以朝上,也可以朝下,依赖于两种液体的密度和角速度。而且,当到达最终平衡态的时候,二者角速度相同,开口朝上,而且也不再依赖于密度了。

三、上面的情况是水桶在旋转,原则上也可以水桶不动,用一根棒子在水桶中心转动,从而带动液体旋转,效果好像应该也是一样的,可以看到同样的效应。其实不然,有时候表观相似的现象,并不一定具有相同的机制。
比如说肖老师提到的那篇PRL文章⁽²⁾,也可以看到凸起的页面,但是其产生机制是环形转动液体里的泰勒不稳定性。
半径为r 的内侧筒壁以ω转动,半径为R的外侧筒壁以Ω转动。只要二者转动角速度不完全相同,夹在两个筒壁之间的液体就会有不同的角速度和速度。当这个差别很小的时候,液体只是绕着对称轴转动而已,但是,当差别大了以后,就会有径向运动,有的地方向外流,有的地方向里流,形成了“涡流”,而且相邻的两个涡的转动方向相反。
原因是这样的:考虑半径为r1处的一圈液体,其流动速度为v1,如果它轻微地向外移动一点点到r2,因为角动量守恒,速度就变为v1r1/r2,而该处原来的速度为v2,二者对应的离心力分别是(v1r1/r2)²/r2和v2²/r2。显然,如果v1r1>v2r2,则跑出来的液体有着更大的离心力,就会进一步推动液体往外跑。里面的往外跑,外面的自然就会往里跑(这就是“围城”啊),但不是迎头跑,而是打圈跑,形成了涡旋。这就是泰勒不稳定性。
一旦有了涡旋,中心转轴处的液体就可能向上也可能向下,具体情况依赖于液体的粘性系数等因素。这就是液体“爬杆效应”的原因。

四、这些情况都不是肖老师说的高分子溶液的事情。
在高分子溶液里,链状的聚合物高分子在离心力的作用下会倾向于排列整齐(就像春风吹动了你的长发),溶液不再是各向同性的了,不再是牛顿液体,这时候也能产生一个凸起。细节我也不太明白,还是等肖老师来讲吧。
《高分子溶液爬杆效应-直觉与理性》
http://blog.sciencenet.cn/blog-39419-1087468.html
在很多流体力学教科书和部分连续介质教科书中,当圆筒容器有一个棒转动时,高分子溶液在杆处形成一个凸面,与水溶液在杆处形成一个凹面恰好相反。
《北京邮电大学本科生在美国物理杂志上发表精彩教研论文》
http://www.bupt.edu.cn/content/content.php?p=81_15_4438
北京邮电大学理学院的颜子翔同学和信息与通信工程学院的孙露同学,在理学院肖井华和兰岳恒老师的带领下,将大学生创新项目“水油二相旋转液体加速过程分界面形态分析” 所探索的内容写成了文章,以《水油二相液体旋转加速过程中分界面形态分析》为题于2017年3月发表在美国物理杂志(American Journal of Physics. Vol 85, issue 4)上。
参考文献:
[1] The profile of an oil-water interface in a spin-up rotating cylindrical vessel. Zixiang Yan, Lu Sun, Jinghua Xiao, Yueheng Lan 2017. Am. J. Phys. 85 (4),271
[2] Rod-Climbing Effect in Newtonian Fluids. Daniel Bonn, Mathias Kobylko,Steffen Bohn Jacques Meunier, Alexander Morozov,and Wim van Saarloos 2004. Phys. Rev. Lett. 93(21), 214503
声明:本微信转载文章出于非商业性的教育和科研目的,并不意味着支持其观点或证实其内容的真实性。版权归原作者所有,如转载稿涉及版权等问题,请立即联系我们,我们会予以更改或删除相关文章,保证您的权利!
转载声明:本文转载自「声振之家」,搜索「vibunion」即可关注。
此现象做实验简单,如果用CFD来模拟,还是比较复杂的!!有空来秀一下~~
本篇文章来源于微信公众号: CFD之道








评论前必须登录!
注册