本案例利用STAR CCM+计算水银通过具有均匀热通量壁面的圆形管道内的层流流动现象。
1 案例描述
案例模型如下图所示,水银在管道入口处为充分发展湍流速度分布,平均速度为0.005 m/s。利用STAR CCM+计算管道压降及出口中心点位置温度,并与解析解进行比较。案例采用二维轴对称模型计算。管道半径为0.0025 m,管道长度0.1 m。本案例利用ICEM CFD生成全四边形计算网格。

2 介质参数
-
流体介质为水银
-
密度:13529 kg/m3
-
粘度:0.001523 kg/m-s
-
比热:139.3 J/kg-K
-
导热率:8.54 W/m-K
3 边界条件
-
入口条件为充分发展速度,平均速度0.005m/s
-
入口温度:300K
-
壁面热通量:5000 W/m^2
4 解析计算方式
1、压降计算
理论值来自 :
Theodore L. Bergman, Adrienne S. Lavine, Frank P. Incropera, David P. DeWitt.Fundamentals of Heat and Mass Transfer [ 7ed. ] . P523。
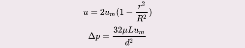
其中给出了充分发展速度表达式及水头损失表达式。分别为:


2、传热计算
理论值来自Fundamentals of Heat and Mass Transfer [ 7ed. ] . P530,给出:

5 STAR CCM+计算
5.1 启动STAR CCM+
-
启动STAR CCM+,点击菜单File → New…弹出设置对话框,如下图所示保持默认设置,点击OK按钮新建仿真

5.2 导入网格
本案例网格由ICEM CFD生成。
-
点击菜单File → Import → Import Volume Mesh…,在弹出对话框中选择网格文件ex2.msh导入网格

-
右键选择模型树节点Scenes,点击弹出菜单项New Scene → Mesh,如下图所示

图形窗口中显示导入的网格,如下图所示(取其中一段)。

5.3 添加物理模型
-
右键选择模型树节点Continua → Physics 1,点击弹出菜单项Select models…,弹出设置对话框

-
取消选项Two Dimensional,选择选项Axisymmetric
-
弹出对话框中选择选项Steady
-
选择选项liquid
-
选择选项Segregated Flow
-
选择选项Constant Density
-
选择选项Laminar
-
选择选择Segregated Fluid Temperature
-
其他参数保持默认设置,如下图所示,点击Close按钮关闭对话框

5.4 材料设置
-
鼠标右键选择模型树节点Continua > Physics 1 > Models > Liquid > H2O,点击弹出菜单项Replace with… ,弹出材料替换对话框,如下图所示,选择材料Hg,点击OK按钮关闭对话框

-
鼠标右键选择模型树节点Continua > Physics 1 > Models > Liquid > Hg,弹出材料属性设置对话框,如下图所示,设置密度为13529 kg/m3,粘度为0.001523 Pa-s,设置比热为139.3 J/kg-K

5.5 定义边界条件
边界入口为充分发展流动,其速度表达式为:

-
右键选择模型树节点Tools > Filed Functions,点击弹出菜单项New → Scalar创建标量表达式,命名为U

注:这里也可以创建矢量表达式,但创建标量要更加简单,也更容易理解。
-
属性窗口中点击Definition右侧按钮,弹出变量定义对话框

-
如下描图所示,变量定义对话框中指定速度表达式为
0.01*(1-pow($${Centroid}[1],2)/0.0025/0.0025),如下图所示

5.6 边界条件
1、inlet设置
-
鼠标点击模型树节点Region > FLUID > Boundaries > INLET > Physics Conditions > Velocity Specification,属性窗口中设置Method为Component

-
如下图所示,点击节点Region > FLUID > Boundaries > INLET > Physics Values> Velocity > Composite > X Component,属性窗口中设置Method为Field Function,设置Scalar Function为U

2、OUTLET设置
-
鼠标选中模型树节点Boundaries > OUTLET,属性窗口设置Type为Pressure Outlet,如下图所示

3、TOP设置
-
鼠标选中模型树节点Boundaries > Top > Physics Conditions > Thermal Specification,属性窗口中设置Condition为Heat Flux,如下图所示

-
点击节点TOP > Physics Values > Heat Flux,属性窗口设置Value为5000 W/m^2,如下图所示

5.7 插入云图显示
-
右键选择模型树节点Scenes,点击弹出菜单项New Scene → Scalar,如下图所示

-
属性窗口中设置Contour Style为Smooth Filled,这样显示出来的图形比较连续

-
点击节点Scalar 1 > Scalar Field,属性窗口中设置Function为Temperature

5.8 查看压降
-
鼠标右键选择模型树节点Reports,点击弹出菜单项New Report > Pressure Drop

-
属性窗口中设置High Pressure为INLET,设置Low Pressure为OUTLET,如下图所示

-
右键选择模型树节点Reports > Pressure Drop 1,点击弹出菜单项Create Monitor and Plot from Report创建监控及曲线显示

5.9 插入曲线显示
-
右键选择模型树节点Plots,点击弹出菜单项New Plot → XY Plot新建曲线图

-
点击节点XY Plot 1,属性窗口设置Parts为OUTLET,如下图所示

-
选中节点Y Types > Y Type 1 > Scalar Function,属性窗口中设置Field Function为Velocity:Magnitude,如下图所示

5.10 设置初始值
注:没有好的初始值,STAR CCM+的收敛速度会让人发疯。后面再来吐槽这个。有兴趣的不设置初始值直接采用默认初始值计算试试,看需要多长时间能够达到收敛。
-
鼠标选中模型树节点Physics 1 > Initial Conditions > Static Temperature,属性窗口中设置Value为340 K

注:设置一个300~340 K之间的温度值都可以
-
鼠标选中模型树节点Physics 1 > Initial Conditions > Velocity,属性窗口设置Method为Composite

-
选中节点Velocity > Composite > X Component,属性窗口中设置Method为Field Function,设置Scalar Function为U

注:Fluent初始化要有这待遇,十步开外估计就能收敛。
5.11 设置迭代次数
-
鼠标选中模型树节点Stooping Criteria,属性窗口设置Maximum Steps为20000

注:这里没有设置其他的残差标准
5.12 开始计算
-
点击工具栏按钮Run开始计算

如下图所示,计算在16395步达到收敛(主要是能量方程收敛缓慢,采用至强20核心CPU,内存32G,计算时间约30分钟),此时监测到的压降为0.9739441 Pa。

6 计算结果
-
温度分布

-
出口速度曲线

-
出口温度曲线

输出数据可查看圆心位置温度值为341.9644 K。
7 计算结果验证
将计算结果与解析值比较,如下表所示。

注:虽然耗时有点儿长,但计算精度还算不错。
文件链接:
https://pan.baidu.com/s/13s7TJAJr7DLYqY19eHnyTQ
提取码:gkgh
本篇文章来源于微信公众号: CFD之道








评论前必须登录!
注册