本案例利用STAR CCM+计算存在压力梯度条件下的库艾特流动,并对计算结果进行验证。
核心内容:周期边界的设定。
1 案例描述
本案例模拟两个平行板之间的粘性流动。其中底板保持静止不动,顶板以恒定速度3 m/s移动。沿板平行方向压力梯度为-12 Pa/m。
如图所示。

2 计算模型
采用2D周期模型,长1.5m,宽1 m。
介质参数:密度1kg/m3,动力粘度1 kg/m-s。
边界条件:
-
顶板:壁面边界,速度沿X方向3 m/s
-
底板:固定壁面边界
-
左右周期边界: 周期边界,压降梯度-12 Pa/m
3 模型验证
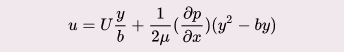
解析解来自B.R. Munson, T.H. Okiishi, W.W. Huebsch, Fundamentals of Fluid Mechanics, 7th Edition,P324。


其中,U为顶板移动速度,本案例为3m/s;b为平板间距,本案例中为1 m。代入本案例中的计算条件,可得到速度表达式:

4 STAR CCM+设置
4.1 启动STAR CCM+
-
启动STAR CCM+,点击菜单File → New…弹出设置对话框,如下图所示保持默认设置,点击OK按钮新建仿真

4.2 导入网格
本案例网格由ICEM CFD生成。
-
点击菜单File → Import → Import Volume Mesh…,在弹出对话框中选择网格文件ex4.cas导入网格

-
右键选择模型树节点Scenes,点击弹出菜单项New Scene → Mesh,如下图所示

图形窗口中显示导入的网格,如下图所示(取其中一段)。

4.3 添加物理模型
-
右键选择模型树节点Continua → Physics 1,点击弹出菜单项Select models…,弹出设置对话框

-
弹出对话框中选择选项Steady
-
选择选项Gas
-
选择选项Segregated Flow
-
选择选项Constant Density
-
选择选项Laminar
-
其他参数保持默认设置,如下图所示,点击Close按钮关闭对话框

4.4 材料设置
-
鼠标双击模型树节点Continua > Physics 1 > Models > Gas > Air,弹出材料属性设置对话框,如下图所示,设置密度为1 kg/m3,粘度为1e-5 Pa-s

4.5 定义边界条件
1、设置周期边界
-
同时选择边界outlet及periodic-shadow-2,点击鼠标右键,选择弹出菜单项Create Interface创建交界面

注:由于文件是从Fluent的Cas文件中导入,可能之前周期交界面就已经创建完毕
-
点击模型树节点Interface 1,属性窗口中设置Type为Fully-Developed Interface,设置Topology为Periodic

-
选中模型树节点Interface 1 > Physics Conditions > Fully Developed Flow Option,属性窗口中设置选项为Pressure Jump

-
如下图所示,选中模型树节点Physics Values > Pressure Jump,属性窗口设置Pressure Jump为18 Pa

注:压力梯度为-12 Pa/m,长度为1.5 m,因此压力降为18 Pa。
2、top_wall设置
-
鼠标点击模型树节点Region > FLUID > Boundaries > top_wall > Physics Conditions > Tangential Velocity Specification,属性窗口中设置Method为Vector

-
模型树节点top_wall > Physics Values > Relative Velocity,属性窗口设置Value为[3 0] m/s,表示其速度为x方向3 m/s

4.6 定义曲线显示
-
右键选中模型树节点Derived Parts,点击弹出菜单New Part > Probe > Line…新建线

-
如下图所示定义x=0.75m的线

-
准备csv文件,利用Excel构造数据文件Analytical.csv,内容如下图所示

注:表格中的数据用前面解析公式计算得到
-
右键选择模型树节点Tools > Tables,点击菜单项New Table > File Table创建表格,在弹出的文件选择对话框中选择文件Analytical.csv

-
右键选择节点Plots,点击菜单项New Plot → XY Plot创建曲线图

-
如下图所示,选中模型树节点XY Plot 1,属性窗口选择Parts为Line Probe

-
选中节点Vector Quantity,属性窗口设置其值为[0 1 0],表示沿Y轴分布

-
选中节点Y Type 1,属性窗口激活选项Smooth Values,这样能获得光滑的曲线

-
选择节点Scalar Function,属性窗口设置Field Function为Velocity[i],显示X方向速度

-
右键选择节点Data Series,点击菜单项Add Data,弹出数据添加对话框

-
选择列表项Analytical,如下图所示,点击OK按钮关闭对话框

-
如下图所示,设置曲线样式

-
如下图所示,设置计算值符号样式

-
如下图所示设置解析值的符号样式

4.7 设置收敛条件
-
如下图所示,同时选中模型树节点Continuity、X-momentum、Y-momentum,点击鼠标右键,选择菜单项Create Stopping Criterion from Monitor

-
如下图所示,同时选中Continuity、X-momentum、Y-momentum的残差标准,并设置其值为1e-5

-
如图所示,同时选中节点,并设置属性窗口中选项Logical Rule为And

注:And的意思是三个残差标准同时达到,计算终止。
4.8 设置迭代次数
-
鼠标选中模型树节点Stooping Criteria,属性窗口设置Maximum Steps为20000

4.9 开始计算
-
点击工具栏按钮Run开始计算

如下图所示,计算在338步达到收敛。

5 计算结果
x方向速度计算结果如图所示。

计算结果与解析解吻合度极好。
文件链接:
链接:https://pan.baidu.com/s/1Ps410Q7q16C5n8JlYe3fcw
提取码:x9m5
本篇文章来源于微信公众号: CFD之道








评论前必须登录!
注册