1 案例介绍
本案例展示借助UDF模拟与位置相关的多孔介质流动,案例主要描述的内容包括:
-
编译UDF
-
利用UDF指定源项
2 问题描述
本案例要考虑的问题如下图所示。

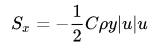
计算模型中包含两个流体域,在多孔介质区域中,利用UDF指定x方向动量源项,该动量源项表示为:

式中,C为模型常数,C=100。该动量源与y坐标相关。
利用UDF宏DEFINESOURCE描述源项。在ANSYS Fluent中,源项需要进行线性化处理:

式中上标*表示为物理量前一个迭代值,参数B(UDF宏中为dS[eqn])可通过下式计算:

UDF宏可写为:
#include "udf.h"
DEFINE_SOURCE(xmom_source,cell ,thread ,dS,eqn) {
const real c2 = 100.0; real x[ND_ND]; real con,source; C_CENTROID(x,cell,thread); con = c2* 0.5 * C_R(cell,thread)*x[1]; source = -con *fabs(C_U(cell,thread))*C_U(cell,thread); dS[eqn] = -2 * con *fabs(C_U(cell),thread);
return source; }
UDF中的C_U宏为获取x方向速度,C_R宏为获取密度。
3 Fluent设置
在进行Fluent设置之前,请确保UDF编译环境已经配置好。
3.1 读取 Mesh
-
利用菜单File → Read → Mesh…读取网格文件
3.2 General设置
General面板采用默认设置。
3.3 Models设置
-
右键选择模型树节点Models → Viscous ,选择弹出菜单Edit…

-
在弹出的对话框中选择k-epsilon(2 eqn)
-
其他参数保持默认设置。

3.4 编译UDF
-
右键选择模型树节点User Defined Functions,选择菜单Compiled…,弹出UDF编译对话框。

-
加载UDF宏文件porous_plug.c,点击按钮Build编译源文件,并点击按钮Load加载UDF。

3.5 Cell Zone Conditions
-
鼠标右键选择模型树节点Cell Zone Conditions > fluid-2,点击弹出菜单Edit…

-
激活选项Source Terms
-
切换到标签页Source Terms,选择X Momentum右侧的Edit…按钮
-
在弹出的对话框中设置Number of X Momentum sources为1
-
设置下方的选项为前面加载的UDF,如图中标志5所示
-
点击OK按钮关闭对话框

3.6 Boundary Conditions设置
-
右键选择模型树节点Boundary Conditons > Velocity-inlet-1,选择Edit…菜单项

-
在弹出的对话框中设置Velocity Magnitude为1 m/s,设置Specification Method为Intensity and Hydraulic Diameter,设置Turbulent Intensity为5,设置Hydraulic Diameter为4 m,其他参数保持默认设置,点击OK按钮关闭对话框

-
相同步骤设置边界Pressure-outlet-1,设置Backflow Reference Frame为0,设置Backflow Turbulent Intensity为5,设置Backflow Turbulent Viscosity Ratio为10,其他参数保持默认设置,点击OK按钮关闭对话框

3.7 初始化
-
鼠标右键选择模型树节点Solution > Initialization,选择菜单项Initialize进行初始化

3.8 Run Calculation
-
双击模型树节点Solution > Run Calculation
-
右侧面板中设置Number of Iterations为200,点击按钮Calculate进行计算

计算大约30步收敛到1e-3。

3.9 后处理
-
右键选择模型树节点Results > Graphics > Contours,选择弹出菜单Edit…

-
弹出对话框中查看计算域中静压分布,如下图所示

静压分布如下图所示。

查看速度矢量分布,如下图所示。

由于所设置的动量源与Y坐标相关,且随Y坐标增大而增大。图中反映出Y坐标越大,速度减小得越多。注意这里设置的动量源是一个阻力源,其值越大表示阻力越大。
本案例源文件可在这里下载【链接:http://pan.baidu.com/s/1o8LrSUm 密码:1e3e】,一起来试一试吧~
本篇文章来源于微信公众号: CFD之道








评论前必须登录!
注册