吾生有涯 学海无涯
析模有界 知识无界

胡言|Fluent湍流模型III

本文描述Fluent中的一些SRS模型。
注:本文内容译自Fluent UserGuide.
RANS模型的另一种替代方法是至少为部分流域解决一部分湍流。这种模型通常称为尺度分解模拟(Scale Resolving Simulation)模型。

3.1 Large Eddy Simulation(LES)

最广为人知的SRS模型是大涡模拟(LES)。该模型求解空间及时间上的大的湍流结构。然而,尽管LES在学术界被广泛使用,但其对工业模拟的影响非常有限。其原因在于LES对壁面边界层的分辨率要求过高。,在靠近壁面的区域,湍流中最大的尺度在几何上非常小,因此需要非常细密的计算网格和很小的时间步长。
此外,与RANS不同的是,LES计算网格不仅要在壁面法线方向进行细化,还必须求解壁面平行方向的湍流问题。这只能在非常低雷诺数和非常小的几何尺度下才可能实现(LES区域的范围不能远大于平行于壁面的边界层厚度的10-100倍),因此,LES只建议用于壁面边界层无关且无需求解的流动,或者雷诺数较低的边界层为层流的流动。在这种情况下,最平衡的LES模型是WALE模型。该模型在复杂性和通用性之间提供了一个很好的折衷。其还允许在不受模型影响的情况下计算层流剪切(边界)层。
LES的一个扩展是Wall-Modeling LES (WMLES)。其允许在高雷诺数下计算壁面有界流动,而无需像传统LES那样在高雷诺数下大幅提高网格分辨率。对于WMLES,网格分辨率在很大程度上与边界层网格单元的雷诺数无关。WMLES对于恒定剪切的流动不提供零涡流粘度,因此不允许计算转捩效应,而且在分裂计算层计算中会产生过大的涡流粘度。增强的WMLES S-Ω模型克服了这些缺点。

3.2 Hybrid RANS-LES模型

为避免LES的高分辨率要求,近年来开发了许多混合模型。这些模型结合了RANS和LES方法的某些元素,允许模拟高雷诺数流动。在混合模型中,附壁面边界层通常被模型的RANS部分处理,而大的分离区域则以LES模式进行处理,这意味着湍流谱在空间和时间上具有部分分辨率。混合模型依赖于足够强的流动非稳定性以在分离区产生湍流结构。
典型情况如钝体尾部的流动,在那里URANS模型预测单模周期涡旋脱落。混合模型允许这些涡旋产生更小的涡旋,直到达到网格分辨率的极限。如下图㪢为SST-URANS及SST-SAS模型的计算结果。图中显示了一个典型的场景:标准RANS模型在非定常模式下的导致单频率旋涡脱落(左图),而混合模型的应用允许大型旋涡结构分解成更小的尺度(右图)。 
这有助于预测钝体后部的正确混合,或提取谱信息(例如,用于声学模拟)。同时,混合模型的RANS部分覆盖了壁面边界层,避免了LES过高的分辨率要求。

3.3 Scale-Apdaptive Simulation(SAS)

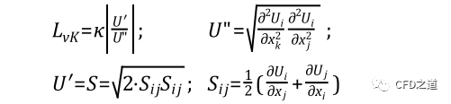
SAS模型基于将冯卡门长度尺度Lvk引入湍流方程的基础上(对于BSL和SST模型,其基于ω方程)构建。Lvk定义为速度矢量的一阶导数与二阶导数的比值(乘以冯卡门常数k=0.41)

这一项的加入使模型能够调整其长度尺度以适应流动中已经求解的尺度,从而提供足够低的涡流粘度,使模型能够在LES模式下运行。
SAS方法的优点是模型的RANS部分不受网格尺寸的影响,因此不会出现模型精度下降的情况,这在精细化网格但流动非稳定性不足的区域的DES中可以看到。然而在流动非稳定性不足的情况下,SAS仍处于RANS模式,不会产生非定常结构。虽然这通常表明RANS模型仍然能够合理地处理流,但如果需要非稳态信息(例如声学),这是一个限制。在这种情况下,可以使用ELES实现的内部接口选项将模型湍流转换为解析湍流。

3.4 分离涡模拟(DES)

DES模式通过比较湍流长度尺度与网格间距的大小来实现了RANS与LES之间的切换。该模型选择两者的最小值,从而在RANS和LES模式之间切换。通过替换k方程中的ε:

一旦模型选择网格间距为最小值,则模型运行在LES模式下。
网格间距显式地引入DES模型。这可能会影响RANS在网格介于RANS和LES分辨率之间(DES中称为灰色区域)和/或流动不稳定性不足以生成LES结构的区域中的求解。DES要考虑的另一个问题是网格诱导分离(GIS)问题。当附加壁面边界层流的网格细化到DES限制器激活并影响RANS解决方案时,就会发生这种情况。
然而,在这种情况下,流动不稳定性不够强,不足以平衡通过解决湍流减少的RANS含量。 这通常会导致网格细化位置的人工流分离。通常发生在Δmax<δ(边界层厚度)。Menter等人对此提出了补救措施,他们建议使用SST-DES模型的F1混合函数来保护边界层不受DES限制器的影响。后来,Spalart等人提出了用于相同目的的替代混合函数,导致术语Delayed DES (DDES)。最初为SpalartAllmaras模型提出的DDES模型对BSL、SST和-等双方程模型的GIS防护能力有限。因此,DDES功能已经为BSL、SST和k-epsilon模型重新校准,现在是使用这些模型时的推荐选择和默认设置。
Strelets等改进DDES (IDDES)公式进一步细化,将模型的LES区扩展到壁面边界层的外侧。 
这允许在壁面模型LES (WMLES)模式下模拟壁面边界层。在该模型中,IDDES模型的应用类似于LES模型,具有典型的非定常入口条件。WMLES的网格分辨率要求远没有LES严格。
以上屏蔽功能变量均可在ANSYS Fluent中获得。对于Spalart-Allmaras模型,采用原始的DDES屏蔽函数。对于k-e、BSL和SST模型,为了更好地保护边界层,对DDES函数进行了重新校准。重新校准的DDES函数是默认选择,建议在BSL / SST模型中使用F1或F2函数。 
尽管混合方法在应用中存在潜在的困难,但由于避免了LES对壁面边界层要求的过高分辨率,它们有潜力极大地扩展尺度分解仿真模型在工程应用中的应用。WMLES模式下的IDDES是一个高级选项,只有在用户熟悉原始文献和该模型的网格需求时才应该使用。
ANSYS Fluent中的DES和DDES模型已被SDES和SBES模型所取代。

本篇文章来源于微信公众号: CFD之道

赞(4) 打赏
版权声明:未经允许,请勿随意用于商业用途。
文章名称:《胡言|Fluent湍流模型III》
文章链接:https://www.topcfd.cn/11207/
本站资源仅供个人学习交流,请于下载后24小时内删除,不允许用于商业用途,否则法律问题自行承担。
分享到

说两句 抢沙发

评论前必须登录!

 

觉得文章有用就打赏一下文章作者吧

非常感谢你的打赏,我们将继续给力更多优质内容,让我们一起创建更加美好的网络世界!

支付宝扫一扫

微信扫一扫

登录

找回密码

注册