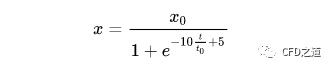
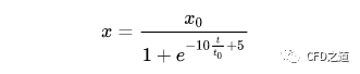
如要定义实现以下边界条件:

式中,x0及t0为指定的参数,x范围为0时刻0,t0时刻x0。
常用的处理方式有两种:
-
codedFixedValue
-
uniformFixedValue
1 利用codedFixedValue边界条件实现
利用codeFixedValue是较为方便的一种。
-
codeFixedValue允许使用c++代码片段计算边界值
-
所有代码片段在运行时加载
-
在代码片段中,用户可以使用Foam::fvMesh及Foam::Time类实现相应的功能
如测试案例:
cp -r $FOAM_TUTORIALS /incompressible/pisoFoam/RAS/cavity $FOAM_RUN
movingWall
{
type fixedValue;
value uniform (1 0 0);
}
换成上面的自定义边界:
movingWall
{
type codedFixedValue;
value uniform (0 0 0);
redirectType increaseToFixedValue;
code
#{
const scalar t = this->db().time().value();
const scalar t0 = 5.0;
const vector x0(1, 0, 0);
operator==( x0 * ( 1 / (1.0 + exp(-10.0*t/t0 + 5.0) ) ) );
#};
}
注:采用这种方式的话,只要边界代码发生改变,在计算时都会进行重新编译。
2 uniformFixedValue实现
-
uniformFixedValue边界是fixedValue边界的扩展
-
其可以设置边界条件为时间及其它物理量的函数
利用命令查看文件uniformFixedValueFvPatchField.H:
cat $FOAM_SRC/finiteVolume/fields/fvPatchFields/derived/uniformFixedValue/uniformFixedValueFvPatchField.H
其文件部分内容如下:
Description
This boundary condition provides a uniform fixed value condition.
Usage
table
Property | Description | Required | Default value
uniformValue | uniform value| yes |
endtable
Example of the boundary condition specification:
verbatim
{
type uniformFixedValue;
uniformValue constant 0.2;
}
endverbatim
Note
The uniformValue entry is a Function1 type, able to describe time
varying functions. The example above gives the usage for supplying a
constant value.
-
uniformValue是一个Function1类型,其允许定义随时间变化的函数
在OpenFOAM的源文件中寻找Function1,可以利用以下命令:
find $FOAM_SRC -name "Function1"
如下图所示,返回了两条路径。

在Function1路径下存放了大量写函数相关的文件夹,这里可以挑选一个与目标函数比较接近的来用,根据前面函数形式,可以挑选Sine。

-
运行以下命令,将文件拷贝到相应的路径下
cd $FOAM_RUN
mkdir newFunction1
cp -r $FOAM_SRC/OpenFOAM/primitives/functions/Function1/Sine/ $FOAM_RUN/newFunction1/
cd $FOAM_RUN/newFunction1
mv Sine TrainingExp
cd TrainingExp
-
将TrainingExp路径下的所有Sine文件名替换成TrainingExp
修改后文件夹如下图所示。

注:这里不改文件名其实也可以。
-
将所有文件中的Sine替换成TrainingExp,可以利用sed命令,也可以手工替换
sed -i "s/Sine/TrainingExp/g" TrainingExp*

-
查看文件TrainingExp.h
#ifndef TrainingExp_H
#define TrainingExp_H
#include "Function1.H"
// * * * * * * * * * * * * * * * * * * * * * //
namespace Foam
{
namespace Function1Types
{
/*------------------------------*
Class TrainingExp Declaration
*------------------------------*/
template<class Type>
class TrainingExp
:
public Function1
{
// Private data
//- Start-time for the sin function
scalar t0_;
//- Scalar amplitude of the sin function
autoPtr> amplitude_;
//- Frequency of the sin function
autoPtr> frequency_;
//- Scaling factor of the sin function
autoPtr> scale_;
//- Level to which the sin function is added
autoPtr> level_;
// Private Member Functions
//- Read the coefficients from the given dictionary
void read(const dictionary& coeffs);
//- Disallow default bitwise assignment
void operator=(const TrainingExp&);
public:
// Runtime type information
TypeName("trainingExp");
// Constructors
//- Construct from entry name and dictionary
TrainingExp
(
const word& entryName,
const dictionary& dict
);
//- Copy constructor
TrainingExp(const TrainingExp& se);
//- Destructor
virtual ~TrainingExp();
// Member Functions
//- Return value for time t
virtual inline Type value(const scalar t) const;
//- Write in dictionary format
virtual void writeData(Ostream& os) const;
};
} // End namespace Function1Types
} // End namespace Foam
#include "TrainingExpI.H"
#ifdef NoRepository
#include "TrainingExp.C"
#endif
#endif
-
t0:起始时间,保留不变
-
amplitude:函数幅值,将其替换成A
-
frequency:数频率,将其替换成B
-
scale:缩放系数,此处没什么用,可以将其去掉
-
level:截距,将其替换成x0
可以利用以下命令来实现文本替换:
sed -i "s/amplitude/A/g" TrainingExp*
sed -i "s/frequency/B/g" TrainingExp*
sed -i "s/level/x0/g" TrainingExp*
注意:
1、建议注释掉TrainingExp.H以及TrainingExp.C文件中所有与变量scale有关的行,否则在后面运行的过程中会报错。若不注释的话,后面在应用过程中需要指定变量scale的值。2、注意语句TypeName("trainingExp");括号中的trainingExp为后面应用时的边界条件类型。
下面需要在TrainingExpI.H文件中实现表达式。
-
打开文件TrainingExpI.H文件,修改其内容
#include "TrainingExp.H"
#include "mathematicalConstants.H"
// * * * * Member Functions * //
template<class Type>
inline Type Foam::Function1Types::TrainingExp::value(const scalar t) const
{
return
(t < t0_) ?
x0_->value(t) * ( 1.0 /
( 1.0 + exp(A_->value(t) * t/t0_ + B_->value(t)) ) )
: x0_->value(t);
}
注意包含头文件#include "TrainingExp.H"
修改完毕后如下图所示。

文件修改后,需要重新编译。
-
拷贝文件makeFunction1s.C到当前路径
cp $FOAM_SRC/OpenFOAM/primitives/functions/Function1/makeFunction1s.C $FOAM_RUN/newFunction1/
打开文件makeFunction1s.C,修改代码如下:
#include "TrainingExp.H"
#include "fieldTypes.H"
// * * * * * * * * * * * * * * //
#define makeFunction1s(Type)
makeFunction1Type(TrainingExp, Type);
namespace Foam
{
makeFunction1s(scalar);
makeFunction1s(vector);
}
注:注意包含头文件#include "TrainingExp.H"
修改完毕后如下图所示。

-
创建make路径及option和files文件
mkdir $FOAM_RUN/newFunction1/Makecd Maketouch optionstouch files
对于本例来说,option文件中无需任何内容。
在files文件中写入内容:
makeFunction1s.CLIB = $(FOAM_USER_LIBBIN)/libUserFunction1
如下图所示。

-
进行编译
cd $FOAM_RUN/newFunction1wmake
若编译过程中无任何报错,则可以在新的案例中使用边界条件TrainingExp了。
若一切顺利,会如下图所示出现libUserFunction1.dll字样。

注:在linux下,为libUserFunction1.so
-
利用前面的测试案例,修改0/U文件
movingWall
{
type uniformFixedValue;
uniformValue
{
type trainingExp;
t0 5;
A -10;
B 5;
x0 (1 0 0);
}
}
-
修改system/controlDict文件
FoamFile
{
version 2.0;
format ascii;
class dictionary;
location "system";
object controlDict;
}
libs (
"libUserFunction1.dll"
);
application pisoFoam;
startFrom startTime;
startTime 0;
stopAt endTime;
endTime 2;
deltaT 0.005;
writeControl timeStep;
writeInterval 100;
purgeWrite 0;
writeFormat ascii;
writePrecision 6;
writeCompression off;
timeFormat general;
timePrecision 6;
runTimeModifiable true;
blockMeshpisoFoam
计算2 s时刻压力分布如图所示。

链接:
https://pan.baidu.com/s/1gvzL42deMzeyJFB9ckt4mw
提取码:xysr
本篇文章来源于微信公众号: CFD之道








评论前必须登录!
注册