ANSYS提供了非常多的验证案例,我们可以通过这些验证案例提供的数据来练习软件操作。此验证案例集在ANSYS help文档中可以找到。本次为第一个案例。
本案例研究两个同心圆柱体之间的层流流动。几何如图所示。内筒以恒定速度旋转带动流体运动,外筒保持静止。本案例可以采用二维几何建模。

图中几何尺寸为:
-
内圆柱半径17.8mm
-
外圆柱半径46.28mm
流体介质属性为:
-
密度1kg/m3
-
粘度0.0002 kg/m-s
内筒旋转角速度1 rad/s。
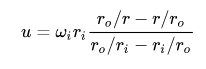
采用稳态层流计算。并与理论值进行比较(理论值来自F. M. White. Fluid Mechanics(7nd ed). P275,共享地址:https://pan.baidu.com/s/1bpaiecv)。


速度云图与预想一致,内圆柱壁面位置速度最大,外圈速度为零。


可以看到计算值与理论值吻合得非常好。

本篇文章来源于微信公众号: CFD之道









前十个验证案例视频失效了,请求修复!