ANSYS提供了非常多的验证案例,我们可以通过这些验证案例提供的数据来练习软件操作。此验证案例集在ANSYS help文档中可以找到。本次为第二个案例。
本案例模拟仿真水银通过具有均匀热通量壁面的圆形管道内的层流流动。在管道入口处为充分发展湍流速度分布。利用Fluent计算管道压降及出口中心点位置温度,并与解析解进行比较。本案例采用二维轴对称模型计算。
几何模型如图所示,管道半径为0.0025 m,管道长度0.1 m。
-
流体介质为水银
-
密度:13529 kg/m3
-
粘度:0.001523 kg/m-s
-
比热:139.3 J/kg-K
-
入口条件为充分发展速度,平均速度0.005m/s
-
入口温度:300K
-
壁面热通量:5000 W/m^2
理论值来自Theodore L. Bergman, Adrienne S. Lavine, Frank P. Incropera, David P. DeWitt. Fundamentals of Heat and Mass Transfer [7ed.]. P523,(https://pan.baidu.com/s/1geRm1zH)
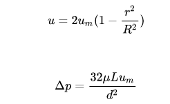
其中给出了充分发展速度表达式及水头损失表达式。分别为:


理论值来自Fundamentals of Heat and Mass Transfer [7ed.]. P530,给出:


采用2D轴对称模型进行计算,具体建模过程见后面视频操作。
下面是一些计算结果。
速度分布如下图所示,满足充分发展速度分布。

入口速度分布如下图所示,符合所预想的抛物线分布。

计算结果与解析解比较,如表所示。
|
理论值 |
计算值 |
相对误差 |
|
|
压降 |
0.97472 |
0.974505 |
-0.02% |
|
温度 |
342.4496 |
342.1116 |
-0.10% |
不知道怎么回事儿,本来挺清晰的视频传上去 一转码就不清晰了,也没关系,案例很简单,将就着看吧,下次不用这劳什子录了。

本篇文章来源于微信公众号: CFD之道









评论前必须登录!
注册