本教程演示了对管道内水锤现象进行模拟并对计算结果与理论值进行比较。

1 启动Workbench并建立分析项目
(1)在Windows系统下执行“开始”→“所有程序”→ANSYS 2019→Workbench命令,启动Workbench 2019,进入ANSYS Workbench 2019界面。
(2)双击主界面Toolbox(工具箱)中的Analysis systems→Fluid Flow(Fluent)选项,即可在项目管理区创建分析项目A。

2 导入几何体
(1)在A2栏的Geometry上单击鼠标右键,在弹出的快捷菜单中选择Import Geometry→Browse命令,此时会弹出“打开”对话框。
(2)在弹出的“打开”对话框中选择文件路径,导入几何体文件。

3 划分网格
(1)双击A3栏Mesh项,进入Meshing界面,在该界面下进行模型的网格划分。
(2)右键模型管道入口和出口,在弹出快捷菜单中选择Create Named Selection,弹出Selection Name对话框,输入名称inlet和outlet,单击OK按钮确认。

(3)右键单击模型树中Mesh选项,依次选择Mesh→Insert→Inflation,boundary选择阀门。


(4)设置网格尺寸为50e-03m,在Quality中,Smoothing选择High。

(6)右键单击模型树中Mesh选项,选择快捷菜单中的Generate Mesh选项,开始生成网格。
(7)网格划分完成以后,单击模型树中Mesh项可以在图形窗口中查看网格。

(8)执行主菜单File→Close Meshing命令,退出网格划分界面,返回到Workbench主界面。
(9)右键单击Workbench界面中A3 Mesh项,选择快捷菜单中的Update项,完成网格数据往Fluent分析模块中的传递。
4 定义模型
(1)双击A4栏Setup项,打开Fluent Launcher对话框,单击OK按钮进入FLUENT界面。
(2)单击命令结构树中General按钮,弹出General(总体模型设定)面板。在SolverTime中选择Transient。
(3)在模型设定面板Models中双击Viscous按钮,弹出Viscous Model(湍流模型)对话框,在Model中选择SST k-omega(2eqn),单击OK按钮确认并关闭对话框。

5 设置材料
(1)单击主菜单中Setting Up Physics→Materials→Create/Edit,弹出Create/Edit Materials(材料)对话框。单击Fluent Database按钮弹出Fluent Database Materials对话框,选择water liquid,Density选择为compressible-liquid,单击Copy按钮确认。

6 设置边界条件
(1)单击主菜单中Setting Up Physics→Zones→Boundaries按钮启动的边界条件面板。
(2)在边界条件面板中,设置inlet的边界类型为pressure-inlet,在Gauge
Total Pressure输入101325,单击OK按钮确认退出。

(3)新建Expression。名字命名为VelocityFunction,Definition输入IF(t<=0.2[s],2[m/s],0[m/s])

(4)在边界条件面板中,设置outlet的边界类型为velocity-inlet,在Velocity
Specification Method选择Components,X-Velocity选择表达式VelocityFunction,单击OK按钮确认退出。

7 初始条件
(1)单击主菜单中Solving→Initialization按钮,弹出Solution Initialization(初始化设置)面板。
Initialization Methods中选择Standard Initialization,Gauge Pressure填入101325,X Velocity填入2,单击Initialize按钮进行初始化。

8 计算求解
(1)单击主菜单中Solve→Run Calculation按钮,弹出Run Calculation(运行计算)面板。
在Time Step Zize中输入2e-5,Number of Iterations中输入10000,单击Calculate开始计算。
9 结果后处理
(1)双击A6栏Results项,进入CFD-Post界面。
(2)显示压力云图。
(3)与理论值对比。
仿真计算在管道末端的压力变化如下图所示,最大压力值为3019430Pa。

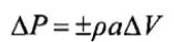
根据Joukowsky经典水锤计算公式:

可计算得到本案例的管道末端在阀门关闭瞬间的理论最大压力变化值为2891300Pa,而计算得到的最大压力变化值为2918105Pa,计算误差为0.92%。
本篇文章来源于微信公众号: 南流坊








评论前必须登录!
注册