让我们来欣赏一下日本高校欧派函数(おっぱい関数)对抗大赛中的作品吧。
埼玉大学(理学部)
其中

明治大学

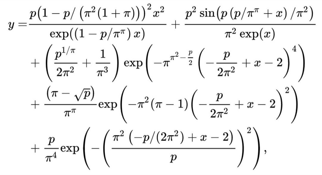
広島大学(理学部)

東京農業大学

其中 是一个可调常数,下图中p=3。

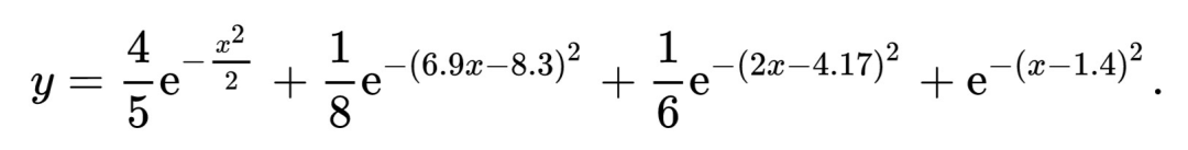
文教大学


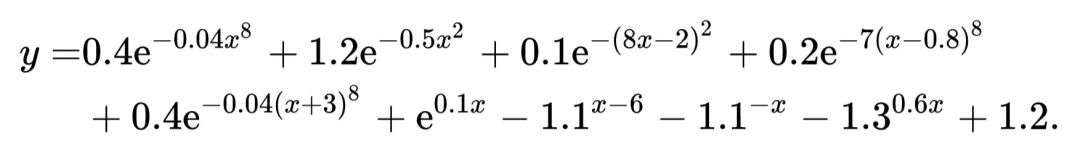
京都大学

其中


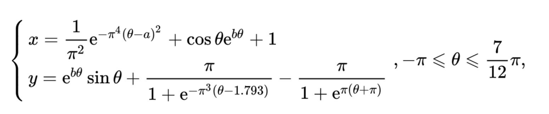
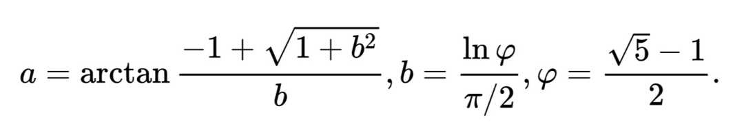
首都大学東京(積分サークル)


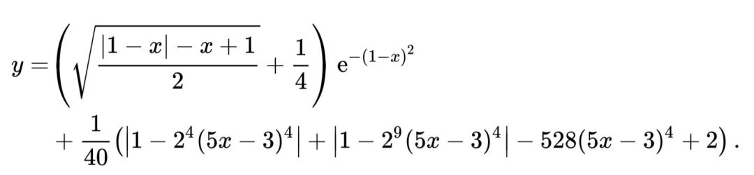
大阪大学


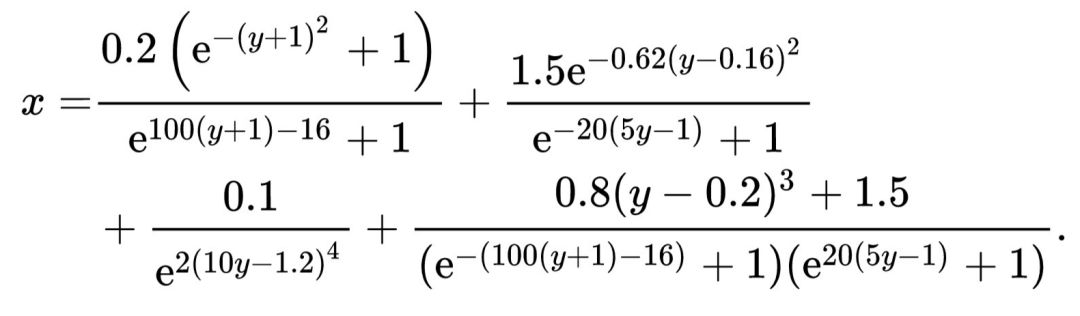
名古屋大学


来源:数学加油吧
本篇文章来源于微信公众号: 南流坊
让我们来欣赏一下日本高校欧派函数(おっぱい関数)对抗大赛中的作品吧。
其中




其中 是一个可调常数,下图中p=3。




其中








来源:数学加油吧
本篇文章来源于微信公众号: 南流坊


评论前必须登录!
注册