CFD计算过程中,若使用了湍流模型,则在设置边界条件时需要设置湍流条件,如下图所示。这些湍流条件包括如水力直径、湍流强度、湍动能、湍流长度尺度、湍动能耗散率、湍流粘度比等参数。计算公式都挺简单,在Fluent帮助文档中有详细描述。

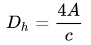
水力直径(hydraulic diameter)的计算公式为:

其中,A为过流面积,c为湿周长度。
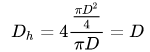
因此对于充满的圆形管道,其水力直径即为其直径。

雷诺数的计算公式为:

式中,ρ为密度;为平均速度;Dh为水力直径;μ为动力粘度。也可以写成:

其中,γ为运动粘度。
对于充分发展管流,其湍流强度(Tubulence Intensity)可表示为:

湍流强度表征的是速度脉动量的均方根与平均速度的比值。通常在CFD计算时,设置湍流强度为1%、5%或10%,分别表示低、中、高湍流强度。
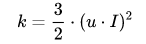
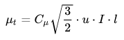
湍动能(Turbulence kinetic energy)的计算公式为:

其中,u为平均速度;I为湍流强度。
湍流长度尺度(Turbulence Length Scale)通常可表示:

其中L为特征尺寸,常取水力直径作为特征尺寸。Cμ为湍流模型常数,常取0.09。
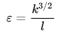
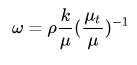
湍动能耗散率(Turbulence dissipation rate)可表示为

其中k为湍流强度,l为湍流长度尺度。
湍流年度比定义为湍流粘度与流体粘度的比值。湍流粘度可表示为:

湍流粘度比(Turbulent viscosity Ratio)则为:

如果使用了k-omega湍流模型的话,可能需要输入比耗散率(Specific dissipation rate),其可通过以下公式进行计算:

也可以通过湍流粘度比来估算:



本篇文章来源于微信公众号: CFD之道








评论前必须登录!
注册