等了好几天,小程序终于通过审核了。
目前对于功能的规划如下图所示。

不过小程序审核比较严格,提交审核的版本不允许有未实现的功能,所以呢,目前审核完毕的版本是这样的。样子有点丑,不过下一个版本更新后应该就好了。

进入小程序很简单。打开微信公众号后,点击右上角的人头标签。如下图所示。

进入公众号资料页,可以选择小程序,如下图所示。

后面我会将小程序添加到公众号菜单中。
小程序的Y+计算采用PointWise官方网页提供的计算方法。见网址http://www.pointwise.com/yplus/。该方法基于Frank M. White’s Fluid Mechanics 5th edition, page 467中关于平板边界层理论计算。具体计算方法为:
先计算雷诺数:

通过雷诺数计算摩擦系数:

计算壁面剪切力:

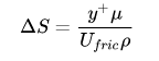
计算:

得到第一层网格高度:



本篇文章来源于微信公众号: CFD之道








评论前必须登录!
注册