本案例利用STAR CCM+计算水银通过具有均匀热通量壁面的圆形管道内的层流流动现象。(本案例的目的用于与STAR CCM+对比)
1 案例描述
案例模型如下图所示,水银在管道入口处为充分发展湍流速度分布,平均速度为0.005 m/s。利用STAR CCM+计算管道压降及出口中心点位置温度,并与解析解进行比较。案例采用二维轴对称模型计算。管道半径为0.0025 m,管道长度0.1 m。本案例利用ICEM CFD生成全四边形计算网格。

2 介质参数
-
流体介质为水银
-
密度:13529 kg/m3
-
粘度:0.001523 kg/m-s
-
比热:139.3 J/kg-K
-
导热率:8.54 W/m-K
3 边界条件
-
入口条件为充分发展速度,平均速度0.005m/s
-
入口温度:300K
-
壁面热通量:5000 W/m^2
4 解析计算方式
1、压降计算
理论值来自 :
Theodore L. Bergman, Adrienne S. Lavine, Frank P. Incropera, David P. DeWitt.Fundamentals of Heat and Mass Transfer [ 7ed. ] . P523。
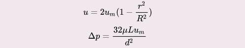
其中给出了充分发展速度表达式及水头损失表达式。分别为:


2、传热计算
理论值来自Fundamentals of Heat and Mass Transfer [ 7ed. ] . P530,给出:

5 Fluent计算
采用2D轴对称模型进行计算。
-
以2D、Double Precision模式启动Fluent
5.1 General设置
-
鼠标双击模型树节点General,右侧面板激活选项Axisymmetric采用轴对称模型

5.2 Models设置
-
右键选择模型树节点Models > Energy,点击弹出菜单项On激活能量方程

5.3 Materials设置
-
鼠标双击模型树节点Materials > Fluid > air弹出材料属性设置对话框
-
修改Name为hg
-
如下图所示,设置Density为13529 kg/m3
-
设置Cp为139.3 j/kg-k
-
设置Thermal Conductivity为8.54 w/m-k
-
设置Viscosity为0.001523 kg/m-s
-
点击按钮Change/Create修改参数

5.4 解释UDF
-
右键选择模型树节点User Defined Functions,点击弹出菜单项Interpreted…弹出解释对话框

-
选择源文件,点击按钮Interpret进行代码解释

案例采用的UDF代码如下所示。

5.5 Boundary Conditions
1、inlet
-
鼠标双击模型树节点Boundary Conditions > inlet弹出设置对话框,选择设置Axial-velocity为udf vel_profile,其他参数默认设置,点击OK按钮关闭对话框

2、outlet
-
右键选择模型树节点Boundary > outlet,点击弹出菜单项Type → pressure-outlet设置边界类型为压力出口,其他参数保持默认设置

3、top边界
-
鼠标双击模型树节点Boundary Conditions > top弹出设置对话框
-
Thermal标签页设置Heat Flux为5000 w/m2,如下图所示

-
其他边界采用默认设置
5.6 Methods
-
鼠标双击模型树节点Methods,右侧面板如下图所示进行设置

5.7 Controls
-
鼠标双击模型树节点Controls,右侧面板如下图所示进行设置

5.8 Monitor
-
双击模型树节点Monitors > Residual,弹出设置对话框,如下图所示,设置残差标准为0.0001

5.9 Initialization
-
右键选择模型树节点Initialization,点击弹出菜单项Initialize进行初始化

5.10 Run Calculation
-
鼠标双击模型树节点Run Calculation,右侧面板如下图所示,设置Number of Iterations为5000
-
点击按钮Calculate开始迭代计算

计算在50步收敛到1e-6,计算总耗时2分40秒(至强单核,内存16 G 计算 )。残差如下图所示。

6 计算结果
1、速度分布
速度分布如下图所示,满足充分发展速度分布。

2、温度分布

3、出口速度

4、出口温度分布

输出数据可查看圆心位置温度为341.566 k。
5、查看压降
统计进出口总压值,如下图所示。

总压值统计结果如下图所示。

计算得到压降为:1.1986683 - 0.2263984 = 0.9722699 Pa
6、压降及出口温度与解析解比较

注:降低残差标准继续往下算,有望进一步提高精度。
本篇文章来源于微信公众号: CFD之道








评论前必须登录!
注册