本验证案例利用Fluent计算T型管中流量分配问题。
如下图所示的T型管道,几何尺寸L=3.0m, W=1.0m。

管内流动介质为空气Air,其密度为1 kg/m3,动力粘度0.003333 kg/m-s。空气从下方入口流入,其轴线速度满足雷诺数:

T型管的两个出口静压Ps均为0。
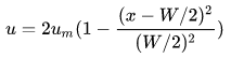
入口速度采用UDF进行指定,该位置速度满足方程(假设坐标原点为左下角):

其中um= 0.5m/s。
利用UDF宏DEFINE_PROFILE指定入口速度:
# include "udf.h"
DEFINE_PROFILE(inlet_velocity, t, i)
{
real p[ND_ND];
real x;
face_t f;
begin_f_loop(f,t)
{
F_CENTROID(p,f,t);
x = p[0];
F_PROFILE(f,t,i) = 1-(x-0.5)*(x-0.5)/0.25;
}
end_f_loop(f,t)
}
-
在DM或SCDM中创建几何模型。
-
启动Workbench,拖拽模块Fluid Flow(Fluent)至工作窗口中

-
双击A2单元格进入SCDM模块
-
在XY平面上根据几何尺寸创建草图几何
-
点击工具栏按钮Pull创建2D平面图

-
关闭SCDM返回至Workbench工作界面
-
双击A3单元格进入Mesh模块
-
指定网格尺寸为25 mm,采用四边形网格划分网格
-
为边界进行命名,如下图所示

-
选中模型树节点Mesh,点击工具栏按钮Update更新网格
-
关闭Mesh模块返回至Workbench
-
双击A4单元格进入Fluent模块,以2D及Double Precision方式启动Fluent
-
右键选择模型树节点Parameters & Customization > User Defined Functions,选择弹出菜单项Compiled…打开UDF编译对话框

-
点击Add…按钮添加udf文件velocity.c,点击Build按钮编译UDF文件
-
点击Load按钮加载UDF

-
双击模型树节点General,右侧面板采用默认设置
由于本案例要计算的是出口流量比,而非真实计算出口流量值,因此采用平面模型是可取的。若本案例需要关注内部流场详细特征,则必须采用三维几何。

-
鼠标双击模型树节点Materials > Fluid > air打开材料设置对话框
-
修改Density为1 kg/m3,修改Viscosity为0.003333 kg/m-s
-
点击按钮Change/Create修改材料数据
-
点击Close按钮关闭对话框

1、inlet设置
-
鼠标双击模型树节点Boundary Conditions > inlet弹出入口条件设置对话框
-
设置Velocity Magnitude为udf inlet_velocity
-
点击OK按钮关闭对话框

2、出口条件
确保出口边界pressure_outlet1及pressure_outlet2的类型为pressure-outlet,条件参数采用默认参数,即出口压力为0。
-
鼠标双击模型树节点Solution > Methods,右侧面板中设置Scheme为Coupled
-
激活选项Warped-Face Gradient Correction及High Order Term Relaxation

修改残差标准为1e-6。
-
鼠标双击模型树节点Solution > Monitor > Residual弹出残差设置对话框
-
修改所有参数的残差标准为1e-6,如图所示

-
右键选择模型树节点Initialization,点击菜单项Initialize进行初始化

-
鼠标双击模型树节点Run Calculation
-
右侧面板中设置选项Number of Iterations为500
-
点击按钮Calculate进行计算

计算90步左右达到收敛。迭代残差如下图所示。

-
鼠标双击模型树节点Results > Reports > Fluxes弹出通量统计对话框

-
选择options为Mass Flow Rate
-
在Boundaries中选择inlet、pressure_outlet1及pressure_outlet2,点击Compute按钮计算这些边界的流量

从上图中看出,入口inlet质量流量为0.66686496 kg/s,出口pressure_outlet1的流量为0.0771768 kg/s,出口pressure_outlet2的流量为0.58968815 kg/s。
得到出口流量比如下表所示。(表中实验值取自文献R.E. Hayes, K. Nandkumar, H. Nasr-El-Din, “Steady Laminar Flow in a 90 Degree Planar Branch”. Computers and Fluids, Vol 17, pp. 537-553, 1989.)

1、压力分布

2、流速分布

视频和案例文件传了一下午还在审核,罢了,还是放在网盘好了,各位有需要的自己取吧。链接:https://pan.baidu.com/s/1p8KMzlnCgffy5Z9LWpiDHA 密码:y0qd


本篇文章来源于微信公众号: CFD之道








评论前必须登录!
注册