本案例利用Fluent计算三角形腔体内流体流动特征。
参考文献:R. Jyotsna, S.P. Vanka. “Multigrid Calculation of Steady, Viscous Flow in a Triangular Cavity”. J. Comp. Phys., Vol 122, pp. 107-117, 1995.
如图所示尺寸的三角形腔体,上部顶盖水平速度2 m/s,验证竖直轴线上速度分布。

腔体内介质密度为1 kg/m3,动力粘度0.01 kg/m-s。
本案例几何模型在SCDM中创建。
-
启动Workbench,添加计算模块Fluid Flow(Fluent)
-
双击A2单元格进入SCDM模块

-
在XY面上根据几何尺寸创建如下图所示的2D几何模型

-
关闭SCDM模块返回Workbench界面
-
双击A4单元格进入Mesh模块
-
右键选择模型树节点Mesh,选择弹出菜单项Insert → Sizing
-
指定几何面的Element Size为20 mm

-
右键点击Mesh,选择弹出菜单项Generate Mesh生成网格

-
进行边界命名,如图所示

-
选中模型树节点Mesh,点击工具栏按钮Update更新网格
-
关闭Mesh返回至Workbench
-
双击A4单元格,以Double Precision模式启动Fluent
4.1 Materials设置
-
双击模型树节点Materials > Fluid > air
-
弹出的材料编辑对话框中设置Density为1 kg/m3,设置Viscosity为0.01 kg/m-s
-
点击按钮Change/Create修改材料参数
-
点击Close按钮关闭对话框

4.2 Boundary Conditions设置
-
双击模型树节点Boundary Condition > movewall,弹出边界设置对话框
-
选择Moving Wall、Translational,并设置Speed为2 m/s
-
点击OK按钮关闭对话框

说明:其他边界采用默认的光滑无滑移壁面边界条件。
4.3 Methods设置
-
双击模型树节点Solution > Methods
-
右侧面板中设置Scheme为Coupled
-
激活选项Warped-Face Gradient Correction及High Order Term Relaxation

4.4 Monitor
修改残差标准为1e-6。
-
鼠标双击模型树节点Solution > Monitor > Residual弹出残差设置对话框
-
修改所有参数的残差标准为1e-6,如图所示

4.5 Initialization
-
右键选择模型树节点Initialization,点击菜单项Initialize进行初始化

4.6 Run Calculation
-
鼠标双击模型树节点Run Calculation
-
右侧面板中设置选项Number of Iterations为500
-
点击按钮Calculate进行计算

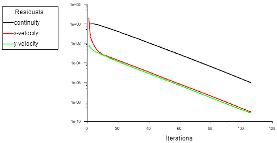
经过106步迭代计算达到收敛。残差曲线如图所示。

1、X方向速度分布
-
双击模型树节点Contours,设置显示X Velocity云图

显示的X方向速度分布如下图所示。

2、轴线速度分布
-
点击工具栏按钮Surface > Create > Line/Rake…弹出线定义对话框

-
两点(0 -4)→(0 0)创建直线,如下图所示

-
双击模型树节点Plot > XYPlot启动曲线图绘制编辑对话框

速度分布如图所示。

3、数据验证
由于验证数据采用的是无量纲速度,因此这里先定义无量纲速度normVelocity。
-
右键选择模型树节点Custom Field Functions,点击弹出菜单项New…打开设置对话框

-
如下图所示,定义变量normvelocity为Vx/2,点击Define按钮进行定义

-
双击模型树节点Plot > XYPlot启动曲线图绘制编辑对话框

如图所示设置,加载测试数据后显示曲线如图所示,可以看到计算结果精度较高,与测试值吻合度较好。

案例视频审核老是通不过,这里是案例文件,有需要的自取:链接:https://pan.baidu.com/s/1XnYyhXbTD3MY8KDLgp5tdw 密码:z7po


本篇文章来源于微信公众号: CFD之道








评论前必须登录!
注册