本案例模拟计算流体计算域中存在突然运动壁面时的瞬态流动。
文献:H. Schlichting, K. Gersten, Boundary Layer Theory, 8th Edition, pp. 126-127, 2000
1 问题描述
计算模型如下图所示。。

计算参数如表所示。
| 材料参数 | 几何模型 | 边界条件 |
|---|---|---|
| 密度:1000 kg/m3 粘度:1 kg/m-s |
计算域尺寸:0.75m x0.3 m | 运动壁面速度:0.01 m/s 入口表压:0 Pa 出口表压:0 Pa |
2 Fluent设置
-
以2D、Double Precision方式启动Fluent并加载case文件
2.1 General设置
-
鼠标双击模型树节点General,右侧面板激活选项Transient采用瞬态计算

2.2 Models设置
-
保持默认设置
2.3 Materials设置
-
新建材料,如下图所示设置其密度及粘度分别为1000 kg/m3及1 kg/m-s

2.4 Cell Zone Conditions设置
-
双击模型树节点Cell Zone Conditions > fluid > fluid,弹出对话框中确保Material Name为new-fluid

2.5 Boundary Conditions设置
-
双击模型树节点Boudnary Conditions > inlet-1,如下图所示设置压力为0

-
鼠标双击模型树节点Boundary Conditions > outlet-1,如下图所示设置参数

-
鼠标双击模型树节点Boundary Conditions > wall1,如下图所示设置壁面运动速度为0.01 m/s

2.6 Initialization
-
鼠标双击模型树节点Initialization,右侧面板如下图所示设置

2.7 Run Calculation设置
-
鼠标双击模型树节点Run Calculation,如下图所示设置参数,点击按钮Calculate开始计算

3 计算后处理
-
1s 时刻X方向速度分布

-
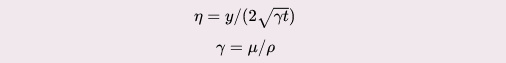
定义参数

结果验证:

计算结果能够较好的与实验值相吻合。
模型自己建,懒得传了。

本篇文章来源于微信公众号: CFD之道








评论前必须登录!
注册