本案例利用ANSYS中的有限速率化学模型对锥形燃烧器内燃烧过程进行仿真计算。取自ANSYS官方tutorials教程。
本案例考虑的锥形燃烧器结构如图所示。燃烧器中心位置存在一个小型喷嘴,甲烷-空气混合气体(当量比0.6)以60 m/s的速度,650K的温度进入燃烧室燃烧。燃烧过程涉及甲烷,氧气,二氧化碳,CO,H2O和N2之间的几个复杂的反应。高速气流在燃烧器内反向,通过同轴出口流出燃烧器。

-
准备网格文件conreac.msh,本案例的网格采用外部导入
-
以2D、Double Precision方式启动Fluent
-
选择菜单File → Read → Mesh读入网格文件conreac.msh
-
双击模型树节点General,右侧面板中设置2D Space为Axisymmetric
-
点击Scale...按钮检查网格尺寸是否需要缩放,本例网格尺寸无需缩放

-
右键选择模型树节点Models > Energy,选择弹出菜单项On激活能量方程

-
右键选择节点Models > Viscous,选择弹出菜单项Model → Realizable k-epsilon激活湍流模型

-
鼠标双击模型树节点Models > Species打开组分模型设置对话框,如下图所示设置
-
激活模型Species Transport
-
激活选项Volumetric
-
选择Mixture Material为methane-air-2step
-
设置Turbulence-Chemistry Interaction为Finite-Rate/Eddy-Dissipation
-
点击OK按钮关闭对话框

提醒:Fluent中预置了一些常用的燃烧混合物材料,用户在使用的过程中可根据需要进行选择。如本例中选择的甲烷-空气燃烧两步反应模型,其中包含了6种组分。
1、从材料库中添加材料no
-
鼠标双击模型树节点Materials > Fluid > air,弹出材料属性设置对话框
-
点击按钮Fluent Database...弹出材料数据库
-
选择材料nitrogen-oxide(no),点击按钮Copy添加材料
-
点击Close按钮关闭对话框

2、向混合材料中添加no
-
鼠标双击模型树节点Materials > Mixture > methane-air-2step弹出材料属性设置对话框
-
点击Mixture Species右侧的Edit...按钮,弹出混合材料编辑对话框

-
添加材料no至混合物列表中,如下图所示,调整材料顺序确保n2位于列表的最下方

3、定义化学反应
-
材料属性编辑对话框中设置Cp为Mixing-law,设置Thermal Conductivity为0.0241 w/m-k
-
点击Reaction右侧按钮Edit...弹出化学反应定义对话框

-
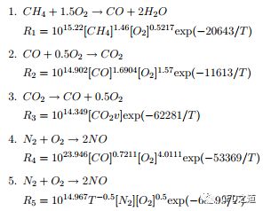
设置Total Number of Reactions为5,如下图所示设置第1个化学反应

本案例中涉及到5个化学反应:
涉及到的参数如表所示。

表中PEF为指前因子,AE为活化能。
表中的数据来自于文献Nicol, D.G.A,Chemical and Numerical Study of NOx and Pollutant Formation in Low-Emissions Combustion, Ph.D. Dissertation, University of Washington (1995) 。该反应机理适用于1 atm,温度650K,燃料-空气平衡比范围为0.45~0.70,其中单位为kmole、m3、s,K

1、设置pressure-outlet-4边界
-
鼠标双击模型树节点Boundary Conditions > pressure-outlet-4
-
在Momentum标签页中按下图所示进行设置

-
Thermal标签页中设置Backflow Total Temperature为2500 k

-
Species标签页中,设置o2为0.05,co2为0.1,h2o为0.1,点击OK按钮关闭对话框

2、velocity-inlet-5设置
相同方式设置velocity-inlet-5 边界,参数如下表所示。

其他边界条件采用默认设置。
-
鼠标双击模型树节点Solution > Methods,右侧面板按下图所示进行设置

-
鼠标双击模型树节点Solution > Controls,右侧面板按下图所示进行设置

-
鼠标双击模型树节点Solution > Initialization,右侧面板中点击按钮Initialize进行初始化

-
点击按钮Patch...,弹出对话框中设置fluid-6区域的初始温度为1000 k,点击Patch按钮进行初始化

-
双击模型树节点Run Calculation
-
右侧面板中设置Number of Iterations为10000,点击按钮Calculate开始计算

计算完毕后可查看相关物理量,如温度、速度、组分等分布。
-
温度分布

-
流函数分布

-
甲烷组分

-
NO组分

链接: https://pan.baidu.com/s/19rV7Dp44qKSAjBPxGKET-Q 密码: phr4


本篇文章来源于微信公众号: CFD之道








评论前必须登录!
注册