Layering是Fluent动网格技术中用于处理拉伸体网格变形的一种非常有效的方法。与光顺方法不同,Layering方法可以处理网格拓扑的变化(如网格节点的增加或删除),因此在Layering方法可以用于变形幅度非常大的场合。
Fluent中的Layering方法
在Fluent中激活Layering方法非常简单,只需在动网格设置中激活选项Layering即可。如下图所示。

Layering方法需要设置的参数较少,如下图所示。

有两种Layering方法:
-
Height Based:基于网格高度。 -
Ratio Based:基于网格高度比率。
两种方法均包含两个参数: -
Split Factor:分裂因子。控制网格分裂。 -
Collapse Factor:坍塌因子。控制网格合并。
基本原理
Layering方法的基本原理很简单,即检测运动边界相连的网格高度,通过设定高度阈值来决定网格是被分裂还是合并。通过设定分裂因子及坍塌因子,并设置一个网格高度值作为参照,即可在边界运动过程中,控制边界相邻网格的合并或分裂。如下图所示,当下方边界运动时,Layering方法计算网格高度以决定是否进行网格的坍塌和分裂。

利用在刚体运动定义的Cell Height来计算网格节点间距,如下图所示。

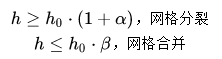
设此参数值为h0,则计算方法为:

其中,α为分裂因子split factor,β为坍塌因子collapse factor。
适用性
虽然Layering方法能够保证网格拓扑改变后的质量,但其应用领域存在较大的局限性。
-
与运动边界相邻的网格必须是三棱柱或六面体(2D中为四边形)网格
-
运动壁面必须是独立的,如下图所示的情形,则必须使用interface。

-
在存有悬挂节点的网格区域(如笛卡尔网格)无法使用Layering方法。


本篇文章来源于微信公众号: CFD之道








评论前必须登录!
注册