小白:迭代法实际上是用时间换空间!
小白最近在学习《数值分析》,其中有讲到代数方程组的求解方式,然而课堂上老师讲得很快,小白听得稀里糊涂的,一堂课下来就记住了几个以前在线性代数中学过的什么高斯消去法,克拉默法,还有什么迭代法。
1 直接法求解
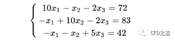
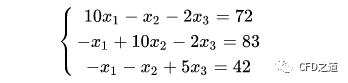
以下列线性方程组举例采用直接法求解。

最简单的直接法求解莫过于矩阵求逆。如上面的代数方程可表达为以下的矩阵方程:

可求解得到:

在利用直接法求解过程中,不管系数矩阵有多复杂,在计算过程中均需要一次性读入内存。直接法有很多种,比如常见的高斯消去法、克拉默法等。
上述方程组也可以采用高斯消去法进行求解。基本方法为:

小白:在进行CFD计算过程中,代数方程的系数矩阵可能有几百万几千万阶(跟网格数量有关系),要将如此庞大的矩阵一次性读入计算机,会消耗矩量的内存。打个简单的比方,如计算100万个网格,对每个变量都存在一个100万x100万的矩阵方程,若不考虑矩阵的稀疏性,将100万x100万矩阵存入内存,保守估计需要1000G的内存。当然在实际程序设计中可以应用一些存储技巧来节省计算内存,但实际计算也有网格数量远超100万的情况,如果是1000万网格呢,可能需要100T的内存了。所以实际的CFD程序中,很少有采用直接法求解代数方程组,大多数采用迭代法进行求解。
2 迭代法求解方程组
考虑线性方程组:

采用迭代法进行求解。
1.1 Jacobi迭代
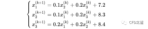
迭代法求解线性方程组最简单的莫过于jacobi迭代。
在利用jacobi迭代法改写成迭代式:

可以采用程序求解:
def f(x1,x2,x3,count=1):y1=0.1*x2+0.2*x3+7.2y2=0.1*x1+0.2*x3+8.3y3=0.2*x1+0.2*x2+8.4if abs(y1-x1)<0.0001 and abs(y2-x2)<0.0001 and abs(y3-x3)<0.0001:#设定精度为0.0001print('最终的计算结果为%s、%s和%s' %(y1,y2,y3))else:print('第%s次迭代的计算结果为%s、%s和%s' %(count, y1,y2,y3))x1,x2,x3,count=y1,y2,y3,count+1return f(x1,x2,x3,count)f(3,5,5)#设置初始值为(3,5,5)
小白:迭代法并不需要将方程组所有系数一次性全部读入内存。求解过程中是采用顺序求解,一次只计算一个代数方程,100万个方程组成的方程组,一次完整迭代需要计算100万次,但每一次只需要读入少量的数据。这里的一次完整迭代对应于流体计算中的一个迭代步。所以当网格数量很多时,计算一步也需要很长的时间。
这里设置初始值(3,5,5),计算输出为:
第1次迭代的计算结果为8.7、9.60和10.0
第2次迭代的计算结果为10.16、11.1700和12.06
第3次迭代的计算结果为10.7290、11.728和12.666
第4次迭代的计算结果为10.9063、11.9061和12.8914
第5次迭代的计算结果为10.9688、11.9688和12.9624
第6次迭代的计算结果为10.9893、11.989373和12.9875
第7次迭代的计算结果为10.9964、11.9964和12.9957
第8次迭代的计算结果为10.9987946、11.9987和12.9985
第9次迭代的计算结果为10.999、11.99和12.9
第10次迭代的计算结果为10.9998、11.9998和12.9998
第11次迭代的计算结果为10.9999、11.9999和12.9999
最终的计算结果为10.9999、11.999和12.9999
可以看出一共迭代了11次,计算收敛,得到解为(11,12,13)。
1.2 Gauss-seidel迭代
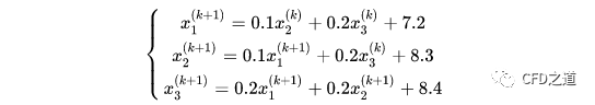
在Jacobi迭代中,后面的迭代并没有应用到前面的结果。Gauss-Seidel迭代与之不同,后面的迭代利用到了前面的计算结果,如下所示,将前面的方程组改写成迭代式:

程序代码可写成:
#seidel 迭代法求根def f(x1,x2,x3,count=1):y1=0.1*x2+0.2*x3+7.2y2=0.1*y1+0.2*x3+8.3y3=0.2*y1+0.2*y2+8.4if max(abs(y1-x1), abs(y2-x2), abs(y3-x3))<0.0001:#设定精度为0.0001print('最终的计算结果为%s、%s和%s' %(y1,y2,y3))else:print('第%s次迭代的计算结果为%s、%s和%s' %(count, y1,y2,y3))x1,x2,x3,count=y1,y2,y3,count+1return f(x1,x2,x3,count)f(3,5,5)#设置初始根为(3,5,5)
输出结果为:
第1次迭代的计算结果为8.7、10.17和12.174
第2次迭代的计算结果为10.6518、11.7999和12.89
第3次迭代的计算结果为10.9583、11.9738和12.9863
第4次迭代的计算结果为10.9946、11.9967和12.9982
第5次迭代的计算结果为10.999、11.9995和12.9997
第6次迭代的计算结果为10.9999、11.9999和12.9999
最终的计算结果为10.9999、11.9999和12.9999
可看出结果6次迭代计算收敛,得到解为(11,12,13)。
小白:迭代法计算存在收敛的问题,如上面相同的方程组,采用Jacobe迭代与采用Gauss-seidel迭代,采用相同的初始值,达到收敛的迭代次数是有差别的。其实初始值对于迭代收敛过程也是有重要影响的,这个留着后面再讨论。
END
小白系列往期列表:
本篇文章来源于微信公众号: CFD之道








评论前必须登录!
注册