小白:图形不仅要好看,更要好用!
1 数据的表达形式
小白:采用合适的数据呈现形式尤其重要。
1.1 线值图
就如下面表格中的数据:
| 变量x | 变量y |
|---|---|
| 1 | 1 |
| 1.2 | 1.728 |
| 1.4 | 2.744 |
| 1.6 | 4.096 |
| 1.8 | 5.832 |
| 2 | 8 |
| 2.2 | 10.648 |
| 2.4 | 13.824 |
| 2.6 | 17.576 |
| 2.8 | 21.952 |
| 3 | 27 |
肉眼看过去,能看出变量y与变量x之间的相关关系么?这难度有点大。不过我们换一种表达方式:

换成这种图形表达,Y与X之间的关系看起来是不是更加清晰了呢,很容易看出来它们成指数关系。
在后处理过程中,有时候也将多条曲线放在一起进行比较,如下图所示。多条不同的曲线放在一起用于比较其变化趋势。

小白:线值图(包括散点图)常用于展示两个变量之间的变化规律,常用于定量分析。文档报告中非常常见。
1.2 云图
要说这个容易理解,我们再来换一组复杂点儿的。比如下面表格中的数据。
| X | Y | Z |
|---|---|---|
| -1 | -1 | -2 |
| -0.9 | -0.9 | -1.458 |
| -0.8 | -0.8 | -1.024 |
| -0.7 | -0.7 | -0.686 |
| -0.6 | -0.6 | -0.432 |
| -0.5 | -0.5 | -0.25 |
| -0.4 | -0.4 | -0.128 |
| -0.3 | -0.3 | -0.054 |
| -0.2 | -0.2 | -0.016 |
| -0.1 | -0.1 | -0.002 |
| 0 | 0 | 0 |
| 0.1 | 0.1 | 0.002 |
| 0.2 | 0.2 | 0.016 |
| 0.3 | 0.3 | 0.054 |
| 0.4 | 0.4 | 0.128 |
| 0.5 | 0.5 | 0.25 |
| 0.6 | 0.6 | 0.432 |
| 0.7 | 0.7 | 0.686 |
| 0.8 | 0.8 | 1.024 |
| 0.9 | 0.9 | 1.458 |
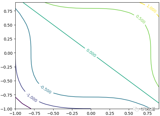
能看懂表中数据Z与x,y之间的关系么?恐怕没人能看得懂。将上表中的数据以等高线图的形式表达,如下图所示。

这样的话数据理解起来是不是要轻松多了呢,虽然依旧看不出来XYZ之间的函数关系,但是从图中可以看出哪些位置的z值大,哪些位置的z值小。
还可以使用等值图来表示,如下图所示。

小白:云图(包括等值图)常用于展示物理量在面(平面或曲面)上的分布,多用于定性分析,有时也用于定量分析。文档报告中非常常见。
1.3 饼图
考虑下表所示的食谱。
| 材料 | 用量 |
|---|---|
| flour | 375g |
| sugar | 300g |
| butter | 250g |
| berries | 75g |
光从表中不容易发现食材组成比例,但如果转换成下图,则很容易从直觉上得到各种食材的比例关系了。

小白:饼图常用于表达部分与整体之间的比例关系,统计文档中有时会用到。
1.4 直方图
如下表所示数据。假设该数据为男生和女生在四次考试中的平均成绩
| 编号 | boys | girls |
|---|---|---|
| 1 | 80 | 86 |
| 2 | 81 | 83 |
| 3 | 79 | 81 |
| 4 | 64 | 72 |
从这表中能看出什么信息么?好像难度比较大。不过我们可以将其转化为直方图查看。

是不是要比表格中冷冰冰的数据更加直观一些呢。
小白:直方图常用于离散数据的大小显示和比较。
1.5 流线图
在CFD结果后处理中,流线图常用于表达流体流动走向,多用于观察计算区域中是否存在流动旋涡、流速分布以及流动梯度变化等。
流线图常用于定性分析与视觉展示,对于数据定量分析功能较弱。

1.6 矢量图
矢量图用于描述矢量在空间的分布。矢量图能够表达矢量的大小及方向,常用于查看流动涡在空间的分布。不同于云图必须附着于空间面,矢量可以分布于几何体。

1.7 动画
动画常用于表达物理量在空间中随时间的变化,多用于定性分析与视觉展示。鉴于一般的文档不方便仿真动画,因此动画也很少用于文档报告中。

1.8 体积渲染
一些专业的CFD后处理软件中提供了体积渲染(Volume Rendering)功能,该功能能够在计算域体积空间内展示物理量的分布。

体积渲染多用于定性分析与视觉展示。
2 图形视觉展示
将数据以图形图表等视觉化的方式展现出来,有助于认识数据之间的相互关系。CFD后处理得到的图形常常是非常漂亮的,但是在处理的过程中,也需要花费一些心思。
额,关于这方面的内容,可以随便找本图形可视化的书看看。下面这篇文章写得不错,不妨一观:玩转可视化|这里有一些小技巧
3 图形可视化的基本原则
几点基本原则:
-
图形必须能够准确全面的反映数据
-
图形必须易于识别和理解
-
图形信息应当完整。每一个图形均为一个独立的个体,应具备完整的信息
-
在保证数据不变的前提下,尽可能使图形美观
江师姐:小白,你这图画得太丑了,老蓝不会放过你的。
小白:可以用PS么?
江师姐:可以啊。
小白:可是我看网上说用PS都是学术造假。
江师姐:又没让你改数据。你可以用PS调一下图形的对比度和饱和度,看看你的图,灰不溜秋的看都看不清。
小白:我能看清啊。
江师姐:你能看清有啥用,你的图是给别人看的,要别人能看清才行。
小白系列往期列表:
本篇文章来源于微信公众号: CFD之道








评论前必须登录!
注册