本文内容取自Fluent UserGuide7.4.3。
压力入口(Pressure Inlet)边界条件用于定义流体域入口的流体压力,以及其他与流动相关的标量数据(如温度、辐射、组分等)。该边界类型在不可压缩流动与可压缩流动中均可使用。
当边界入口压力已知,但流量和/或速度未知,此时可以使用压力入口边界条件。这种情况可能出现在许多实际情况中,如浮力驱动的流动。压力入口边界条件也常常用来定义外部流动或无约束流动中的自由(free)边界。
压力入口边界设置对话框如下图所示(所选择的物理模型不同,该对话框需要设置的参数不尽相同)。

压力边界设置的参数包括:
-
参考系类型
-
总压
-
静压
-
总温
-
流动方向
-
湍流参数(湍流模型)
-
辐射参数(辐射模型)
-
化学组分质量分数或摩尔分数(组分输运模型)
-
混合分数及variance(非预混或部分预混燃烧模型)
-
进程变量(预混或部分预混燃烧模型)
-
离散相边界(DPM模型)
-
多相流边界(多相流模型)
-
明渠流动边界(使用VOF中的明渠流动模型)
-
acoustic wave model设置
1 压力入口边界的速度换算过程
ANSYS Fluent对压力入口边界条件的处理可以描述为从滞止状态到入口状态的无损失过渡。对于不可压缩流动,通常应用伯努利方程来实现;在可压缩流动中,采用了理想气体的等熵流动关系来转换。
1.1 不可压缩流动
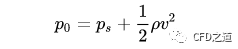
不可压缩流动中,入口总压与静压之间的转换通过伯努利方程来实现:

式中,p0为输入的总压,ps为静压,v为入口速度。
对于不可压缩流,入口边界上流体的密度要么是常数,要么是温度和/或物质质量/摩尔分数的函数,其中质量或摩尔分数是入口条件输入值。
如果存在流体从压力进口流出,则对话框中指定的总压会被当做静压处理。
对于不可压缩流动,入口静温等于输入的总温值。
1.2 可压缩流动
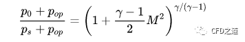
在可压缩流动中,采用理想气体的等熵关系来表示压力入口边界处的总压、静压和速度。

式中,

式中,p0为输入的总压值;ps为静压值;M为马赫数;γ为比热比,γ=cp/cv;p_op为参考压力;Ts为静温。通过指定入口的总压与静压值,可以换算出入口边界的速速值。
对于可压缩流动,入口密度值通过理想气体状态方程计算得到:

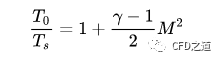
入口静温可以通过输入的总温计算:

1.3 注意事项
在设置压力边界时,需要注意以下一些问题:
-
在Gauge Total Pressure输入框中输入的总压值为相对于参考压力的表压
-
不可压缩流动中,压力入口对话框中输入的温度值被视作静温
-
在Mixture多相流中,若边界允许可压缩与不可压缩相同时进入计算区域,则输入的温度值被视作静温;若边界仅允许压缩相进入计算域,则输入的温度值被视作总温。
-
在VOF多相流中,若边界允许可压缩相进入计算区域,则边界温度视作总温,否则视作静温
-
在Eulerian多相流中,若边界允许可压缩与不可压缩混合物进入计算域,则温度被视作静温或总温取决于该相可压缩还是不可压缩,可压缩为总温,不可压缩为静温
2 压力入口与静压头
当在Operating Conditions对话框中激活了重力加速度Gravity时,压力场(包括所有的压力输入数据)将包含流体静压头。流体静压头可表示为:

式中,ρ_0为参考密度,g为重力加速度矢量,r为方向向量。
注:若用户没有显式指定参考密度,则Fluent会使用计算域内平均密度作为参考密度。
3 静压定义
当入口流动状态为超声速流动,或想要基于压力入口对计算区域进行初始化时,需要指定静压(Supersonic/Initial Gauge Pressure)。需要注意在对话框中设置的静压值为相对于参考压力的表压。
当流动为亚音速时,Fluent忽略Supersonic/Initial Gauge Pressure,在这种情况下,静压值是从用户所指定的滞止量(总压)计算出来的。如果选择根据压力入口条件进行初始化,Supersonic/Initial Gauge Pressure将与指定的总压结合使用,根据等熵关系(对于可压缩流)或伯努利方程(对于不可压缩流)来计算初值。
4 Prevent Reverse Flow
Prevent Reverse Flow选项用于防止入口出现回流。当该选项被激活时,Fluent会在该边界上构造人工壁面阻止流体流出边界。当边界压力梯度恢复,流体不再通过该边界流出计算区域时,人工壁面将自动移除。
注意该选项不可用于多相流仿真。
本篇文章来源于微信公众号: CFD之道








评论前必须登录!
注册