本案例验证存在压力梯度情况下的库艾特流动。
案例描述
本案例模拟两个平行板之间的粘性流动。其中底板保持静止不动,顶板以恒定速度3 m/s移动。沿板平行方向压力梯度为-12 Pa/m。
如图所示。

计算模型
采用2D周期模型,长1.5m,宽1 m。
介质参数:密度1kg/m3,动力粘度1 kg/m-s。
边界条件:
-
顶板:壁面边界,速度沿X方向 3 m/s
-
底板:固定壁面边界
-
左右周期边界: 压降-12 Pa/m
模型验证
解析解来自B.R. Munson, T.H. Okiishi, W.W. Huebsch, Fundamentals of Fluid Mechanics, 7th Edition,P324(可以在这里找https://pan.baidu.com/s/1qYtuNhE)。

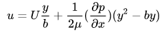
其中,U为顶板移动速度,本案例为3m/s;b为平板间距,本案例中为1 m。
代入本案例中的计算条件,可得到速度表达式:

结果比较
计算结果如下图所示。可以看出Fluent计算值与解析值非常吻合。

视频操作
本案例视频操作如下。


本篇文章来源于微信公众号: CFD之道








评论前必须登录!
注册