来源:公众号学力学吧
本文不难哦~只要你学过高等数学课程,就能无障碍的进行阅读。如果学过数学物理方法,则更是手到擒来。如果没学过高等数学,也不要紧,相信本文照样能带给你很多收获。
火锅是深受吃货们喜爱的美食。尤其是在寒冷的冬天,要是能坐在餐桌前美美的吃上一顿,那可真是一种享受。
当你把肉片、丸子等食材加入到沸水中时,等待的时光一定很难熬吧?不知道各位在吃火锅时,有没有思考过这样一个问题,为什么不同形状的肉类食材煮熟所需要的时间存在着很大的不同呢?
今天,就跟我一起来探索其中的奥秘吧~
当生食材被加入到沸水中时,热量便会从食物的外围渐渐向内部传递。在物理学上,这属于热传导问题,所以,我们使用数学物理方法中的热传导方程来解决刚才提出的这个疑问。
在处理时,首先要建立模型,然后结合模型,使用问题给出的条件求解方程,在给出解的形式以后,就可以对解进行详细的定量讨论了。
在本文中,我们略去方程的具体求解过程,而把重点放在解的处理和讨论上。

涮肉片
❥涮火锅时的肉片有着各种各样的形态,我们在建立模型时,要抓住其特征。
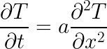
不妨考虑一简单模型。假设所加入的生肉片是面积较大,厚度为L的均匀薄片,如果忽略边缘效应,就可以只考虑肉片中的温度沿肉平面的法线方向的分布了(或者说,认为同一平面上各点的温度相同),这样,我们就可以用下面这个一维热传导方程来解决这一问题。

❥怎么样?看上去是不是很简单呢?先别急着说哦~
这是一个偏微分方程,其中T(x,t)是偏微分方程的解,从直观上很容易想到,它是肉片温度T关于位置x和放入时间t的二元函数。a则是一个常数,它与肉的热导率k、比热容c和密度ρ有关,具体来说是:

❥ 我们来建个坐标系吧~
我们以肉片平面的法线方向为x轴,并将两面分别放在x = -0.5 L和x = 0.5 L处。
学习过数学物理方法这门课程的同学解起这个方程来毫不费力;
如果你没学过,但有兴趣的话也不要紧,在学习了高等数学后,可以通过自学任意一本数理方法教材的一维热传导部分来掌握。
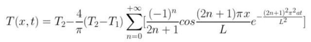
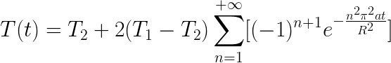
假设放入肉片的温度为T1,火锅汤的温度保持T2不变,得到这个方程的解是:

❥怎么长这样啊?
别被它的样子吓到哦,它其实也是个函数啦,只不过长成级数的样子了~
方程的解已经有了,所以只需要把肉的某一位置的x值和加热的时间t代入,就能把加热到某一温度所需的时间t求出来。
然而,我们很快就放弃了直接代入的念头,因为这是一个二元非初等函数【在分析学上,指数函数、对数函数、幂函数、三角函数和反三角函数经过有限次的四则运算(有理运算)及有限次复合后所构成的函数类称为初等函数】,处理起来十分复杂。要想拿到问题的解,就必须进行合理的近似。
既然这个函数是个二元函数,我们最好选择肉当中的某一位置来进行研究,这样就可以使函数降为一元。
那么选什么位置最合理呢?自然应该是肉片内温度最低的地方啦,因为只要这一区域的温度“达标”了,别的区域也一定“达标”了。
那么,肉的什么部位温度最低呢?热是从肉的两侧向中间传递的,肉的最中间部位的温度肯定是最低的。
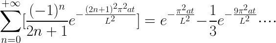
好,我们拿到了第一个处理这个函数的锦囊,那就是将x=0代入,只研究温度最低部位(正中间)的温度T与时间t的关系。

❥很漂亮!
x=0的条件正好使函数中的所有cos部分等于1,相当于除去了三角项。
然而,看看这个函数,我们很快就发现,它仍然是一个非初等函数,而且仍然足够复杂。
看来我们还得用些招数才行。
我们不妨把上面这个函数的级数部分写几项出来,看看能不能得到一些启发。

❥有思路了!
我们一眼就看出这些项是衰减很快的指数项,再加上逐渐扩大的分母项2n+1,衰减的就更快了!
看来我们可以做出一个大胆的近似,那就是只保留级数的第一项,略去后面的所有项,这样就可以干掉级数符号。
进行简化,就必须看看它在什么时候是合理的,然后判断是否适用于我们的问题。
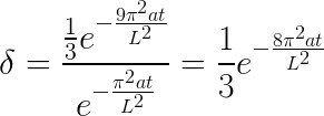
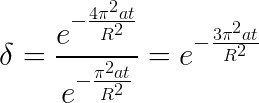
我们可以用级数的第二项除以第一项,如果这个比值δ很小,那么显然近似就是合理的了。

❥ 只要e的指数项绝对值足够大,δ就足够小,我们的近似就是合理的。
考虑到后面我们使用的数据只有两位有效数字,只要δ<0.01,就算是符合要求了,解得:

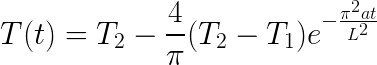
❥所以,在这个条件下,温度函数就可以简化为:

❥把我们上面得到的近似条件代进去,就能看出T在什么情况下我们的近似是合理的,结果是:

❥这相当好。
温度较高的T2项所占的比例很小,温度较低的T1项占的比例则较大,这也就意味着只要肉片的中心温度T高于不太大的一个数,我们的近似就是合理的。
假设涮肉时放入肉的温度为0℃,汤的温度保持100℃,可求得T>18℃。 也就是说,只要肉的待达到温度T’高于18℃,这个近似就成立的比较好。
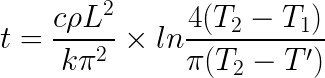
把最简温度函数变形,再把a换成各常数,就能解出当肉片中心温度达到T’时所需的时间t了:

❥现在可以用它来解决问题了。
从这个式子中,我们可以得出三个结论:
1、肉片中心达到同一温度所需的加热时间随着厚度的增加呈现平方级增长,我们不妨简称为“L方原理”。
2、由于T1处在对数项中,肉片的温度下降对加热时间的影响是很小的,也就是说,常温肉和冻肉变熟所需的时间相差不大。
3、刚放入时,肉片中心的温度迅速上升,之后变得越来越慢。

❥接下来我们把各个数据代进去,看看这个公式求出的值是不是与生活经验吻合。
首先要解决的问题就是估计肉的各个常数,尽管蛋白质、脂肪等的存在使得这个工作变得很难,但肉中大部分都是水,所以可近似用水的k、c、ρ来代替。
对于水来说,
k = 0.60 W/(m·K),
c = 4.2*10^3 J/(kg·℃),
ρ = 1.0*10^3 kg/m^3。
我们在这里举两种常见的涮肉。假设我们把-20℃的机器刨冻羊肉片放到沸腾的水中,并进行探讨。这种羊肉片是很薄的,厚度大约为2 mm。
1、当肉的中心温度达到70℃时,需要4.6 s。
2、当肉的中心温度达到85℃时,需要6.6 s。
3、当肉的中心温度达到98℃时,需要12 s。
看来热得蛮快的,不用等到心肝颤了~
吃货们都知道,如果点的是手切羊肉,肉片的温度会比较高,在这里假设为0℃,而且会比较厚,在这里假设为5 mm。
1、当肉的中心温度达到70℃时,需要26 s。
2、当肉的中心温度达到85℃时,需要38 s。
3、当肉的中心温度达到98℃时,需要74 s。
为什么时间变长了呢~ 主要是肉的厚度增加了。
屏幕前的你至少要记得L方原理哦,下次再吃手切羊肉的时候,就不要太着急了哈~
涮肉丸
❥甭管是鱼丸,还是牛丸、虾丸,只要是近似球状的火锅食材,通通可以拿进来算。
有了处理肉片时的经验,我们建立肉丸的模型就变得很容易啦~
自然是假设肉丸是一个标准的球体,半径为R。再设肉丸加入水中时,几乎全部埋在水中,可以想到,这种情况下肉丸某一点的温度T只与这一点到“球心”的距离r以及加热的时间t有关,也就是说,它也应当是个二元函数。
处理这样的球对称热传导问题要用到球对称热传导方程,来相个面:

我们继续沿用食材温度T1,汤温度T2的约定。可以得到这个方程的解是:

有了处理上一个问题的经验,看到这个解,我们就不再腰酸背痛了。
我们选择肉丸r→0的位置进行研究,理由同样是这一位置的温度最低,有比较强的代表性。
利用x→0时sinx/x→1,我们很容易把这个解简化:

容易看出来,这个函数也能用我们处理肉片时的“只取第一项”的策略进行简化。
同样引进δ值代表级数中第二项与第一项的比,即:

同样令δ<0.01,解得:

在这个近似下,温度函数有最简的形式:

把近似条件代入,算得:

可以看到这一次近似成立的要求变高了。
如果假设肉丸的温度为-20℃,汤的温度为100℃,可以算得只有当T>48℃时近似才能成立。
不过,对于我们研究的问题来说,这也足够了。
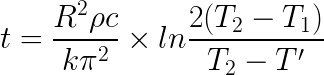
于是我们把最简式重排并把a换成各常数,得到这种情况下加热所需时间t与肉丸中心温度T’之间的关系:

❥ 从这个式子中,我们能得出如下三条结论:
1、肉丸中心达到同一温度所需的时间与肉丸半径的平方呈正比,这一点不妨简称为R方原理。
2、同样由于T1处在对数项中,肉丸温度的降低对加热时间的影响是很小的,也就是说,常温肉丸和冻肉丸变熟所需的时间相差不大。
3、刚放入时,肉丸中心的温度迅速上升,之后变得越来越慢。
再将这个式子与肉片加热时间的表达式对比,我们能看出,如果肉丸和肉片的特征尺寸相近的话,它们加热所需的时间是比较接近的。
但实际上,我们都知道,肉丸的特征尺寸远大于肉片,这是导致肉丸需要较长的加热时间的主要原因。
我们仍然把实际数据代进去,看一看煮肉丸所需要的时间。假设将-20℃的冻肉丸放入沸腾的水中,对于半径R = 1 cm的小肉丸来说:
1、当中心温度达到70℃时,需要 2.5 min。
2、当中心温度达到85℃时,需要 3.3 min。
3、当中心温度达到98℃时,需要 5.7 min。
对于半径R = 2cm的大肉丸来说,根据R方原理可知,以上三个时间分别变为10 min,13min和23 min。
=思考题=
这个单元是设置给数学爱好者们的,如果你对级数没兴趣,可以直接跳过哦~
我们之前解出半径为R的肉丸的温度分布函数为:

试验证明这个解确实满足问题的初始条件。
也就是说,在t=0时,对于肉丸中所有r<R的部分,其温度均为T1;
而在r=R的界面上,温度为T2。
tip:先证明当δ∈(0,π)时,级数和为

本篇文章来源于微信公众号: 南流坊













评论前必须登录!
注册