浮力修正常用于计算域中流体介质密度分布存在较大差异,浮力对流体流动存在较大影响的场景中。
在代尔夫特水力学实验室,Uittenbogaard [51]实验研究了一种淡水与盐水流之间的稳定分层混合层流动。其装置示意图如图68所示。两种密度不同的流体通过分隔板水平进入计算域。上层为密度为1015 kg/m³、平均速度为0.52 m/s的淡水流;下层则为密度为1030 kg/m³、平均速度为0.32 m/s的盐水溶液。在CFD设置中,可以将此流动视为二维流动,如图68所示。流体介质属性在表3中给出。


带有边界条件的计算域如图69所示。计算域的长度和高度分别为40 m 和 0.56 m,与实验测试段保持一致。在入口边界处,淡水层和盐水层的厚度分别为0.237 m 和 0.323 m。
分别采用标准模型、SST模型(无浮力修正及有浮力修正)以及GEKO模型(无浮力修正及有浮力修正)进行了计算。所有案例的边界条件如下:在入口边界处,指定实验测定的速度、湍流特性以及组分浓度分布;出口边界指定为恒定压力;流体域下边界指定为无滑移壁面,上边界模拟为自由表面。

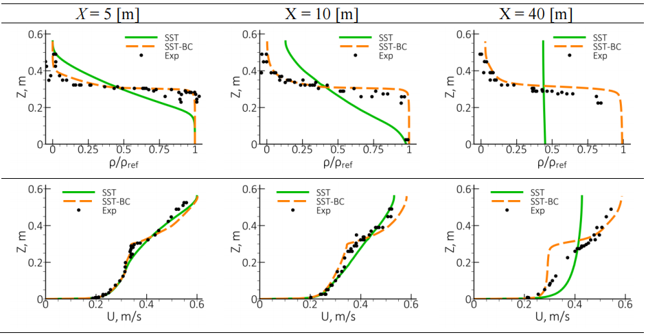
图70展示了在三个不同截面处,SST模型(无浮力修正及有浮力修正SST-BC)计算得到的密度和速度分布对比情况。X = 5 m为接近入口边界的截面,X = 40 m对应出口位置。一维密度变量计算方式为。从图71可以看出,如果不考虑浮力效应,则无法感受到密度分层的稳定化效果,两个流场的混合速率会过高。方程中的浮力产生项降低了剪切层内产生的湍流动能,如图72所示。这导致湍流粘度和雷诺应力均减少。因此混合层的发展更符合实验结果。最下游的截面X = 40 m处的计算结果表明,浮力修正对湍流施加了过强的衰减作用,从密度和速度分布缺乏混合现象可以看到。此处使用的是默认设置,并未针对模型进行精细调整。



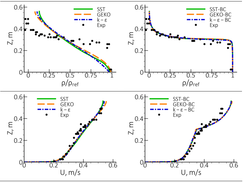
图73显示的不同湍流模型间的对比表明,对湍流模型的选择敏感度相对较小,远小于浮力效应的影响。由于不同截面上的结果类似,仅展示了X = 10 m截面的结果。

注:系列译自《Best Practice: RANS Turbulence Modelingin Ansys CFD》,作者F.R. Mentor,2022
(待续)

本篇文章来源于微信公众号: CFD之道








评论前必须登录!
注册