网格分辨率和网格质量是成功实现 CFD 湍流模拟的两个关键因素。
1 无粘流
流场中无粘部分的解析是最基本的要求。这意味着流动加速/减速区域以及流线曲率等必须得到正确解析。这也包括对强烈梯度,尤其是激波的解析。无粘流动的解析通常在几何变化区域(角落、边缘、尾缘、前缘吸附峰、无粘旋流等)非常重要。在这种情况下,如果网格分辨率不足,通常会通过网格细化下的压力分布变化表现出来。
2 自由表面流
自由剪切流,如混合层、射流或尾流等,通常需要在剪切层法向方向分布至少~10个层网格单元。在流动方向/展向方向上的网格分辨率通常与剪切层厚度相当。
自由剪切层面临两大挑战。首先,自由剪切层在起始位置可能非常薄,因此难以捕捉到自由剪切层的初始形成过程,在大多数情况下,自由剪切层会因此而解析不足。第二个挑战是,在模拟之前自由剪切层的位置往往是未知的。因此如果重要的剪切层被网格遗漏或未被充分解析,则应研究计算结果并完善网格。或者也可以通过网格自适应,使用指示剪切层的自适应标准(速度梯度或湍动能等)来定位剪切层。
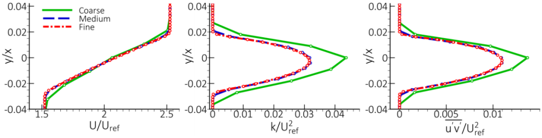
图 77 显示了粗网格、中等网格和精细网格的示例,它们在整个混合层中的网格单元数量分别为 5/10/20 个。所有网格的流向分辨率均相同。粗网格无法提供与网格无关的计算结果,而中等网格和精细网格的结果则完全一致。图 78 显示了 SST 模型的流向速度分量、湍动能和雷诺切剪切应力的自相似分布曲线。


3 完全湍流边界层
壁面边界层对网格分辨率的要求最高,因为边界层内的物理场梯度可能非常高。这对速度或温度等主要求解变量都是如此,对 等湍流量更是如此。
大多数 CFD 用户都专注于壁面第一层网格中心的 y+ 值,并认为达到给定阈值的 y+ 就能确保边界层内有足够的网格分辨率。然而情况并非如此,因为给定的 y+ 值本身并不能确保边界层内有足够多的网格。重要的是要理解,对于相同的 y+ 值和相同的网格增长率(网格增长率 ),高雷诺数边界层内的网格要比低雷诺数边界层内的网格多得多。这从图 79 中可以看出,以 表示的边界层厚度在高雷诺数情况下要比在低雷诺数情况下大很多。

边界层网格的主要质量标准不是 y+ ,而是边界层内部的网格(棱柱层)数量(第 9.4 节给出了边界层厚度的估计值)。强调 "内部 "一词很重要,因为用给定数量的网格生成的棱柱层并不能确保够完全解析边界层--创建的棱柱层高度很可能比边界层薄得多或厚得多。如果棱柱层网格只是部分覆盖了边界层(见图 80),由于从棱柱层到四面体/多面体网格之间的边长度变化较大,因此会导致边界层的分辨率不足。在这种情况下,无法解析边界层的外部区域。

至于跨越边界层需要有多少层网格单元是最佳的,目前并没有一个统一的数字,因为这取决于流动的类型和计算所需的精度。精度要求最高的是涉及安全的航空应用,尤其是飞机模拟。对于此类流动,通常使用 30-40 层网格来求解边界层问题。对于大多数工业流动,边界层内包含 10 层网格是合理的。不过,也有许多流动问题只能使用较少的网格数量,通常只需 3-5 层就能获得合理的结果。
准确解析边界层的需求随着以下需求而增加:
-
求解光滑表面(如机翼)的流动分离问题(与边缘或转角等几何面不连续的流动分离问题相反)。 -
涉及传热的流动。其中对非常靠近壁面区域的条件进行解析非常重要。对于具有高普朗特数的流动来说,这一点更为重要,因为热子层非常薄。 -
层流-湍流转捩的流动,其中层流边界层通常非常薄,需要精确解析以便转捩模型能够正常工作。
流向分辨率通常是边界层厚度的好几倍(比如1-5),而“展向”网格间距甚至可以更高,这取决于该方向的梯度(对于二维流动,它可以是任意粗的)。然而,在大多数技术流动中,流向和展向之间并没有明确的区分,因此网格表面间距通常选择为“各向同性”。
应在模拟过程中和/或模拟完毕后检查边界层的网格分辨率。一个很好的可视化量是湍流粘度与分子粘度的比值()。其在边界层中心附近达到最大值,并在边界层外部衰减到较低的自由流值。通过在等值线图中可视化TVR并叠加网格线,可以通过计数靠近壁面处TVR水平升高的壁面法向单元来估计网格分辨率。图 81 显示了 NACA 4412 机翼在不同网格条件下的计算结果。在这里,精细网格提供了与网格无关的解,而粗网格和中等网格在靠近前缘处的边界层分辨率不足。中等网格在前缘附近的边界层上有大约5个网格,而粗网格根本无法解析边界层。因此,这些网格的边界层较厚,导致翼型吸力侧的更早地发生分离(见图 82)。图 83 所示的前缘区域壁面法线方向的局部网格细化改善了边界层的预测。图 84 显示细化中等网格和精细网格上的计算结果非常吻合。




另一个衡量网格质量的标准是棱柱层与外部非结构网格融合时的平滑度。应避免在该区域中出现大尺寸跳跃的网格,因为它们会阻碍边界层的正常生长(由于分辨率较低,边界层无法在棱柱层网格之外生长)。
最佳网格结构应该是:
-
棱柱层覆盖整个边界层。 -
棱柱层的数量应足以解析边界层。第一层近壁面网格确保y+<1而无需壁面处理。然而,如果边界层内的网格数量足够多,也可以使用更高的y+值。 -
棱柱层和四面体/多面体网格的平滑连接。 -
壁面上的流向网格尺寸应足以正确解析流动特征。 -
滞止区域 -
分离区域 -
激波 -
转捩 -
转角流
图85显示了翼型绕流非结构网格的最佳网格拓扑和分辨率。

注:系列译自《Best Practice: RANS Turbulence Modelingin Ansys CFD》,作者F.R. Mentor,2022
”
(未完待续)

本篇文章来源于微信公众号: CFD之道








评论前必须登录!
注册