本案例利用STAR CCM+计算并验证管道内部泊肃叶流动产生的层流压降。
1 案例描述
本案例计算管道内部泊肃叶流动压降。案例几何如图所示。

管道半径0.00125m,长度0.1m,内部介质密度1 kg/m3,粘度1e-5 kg/m-s。管内入口流动为充分发展层流,平均速度为2 m/s。
利用Field Function定义充分发展速度,其表达式为:

解析解来自F. M. White. Fluid Mechanics(7nd ed),p357。
本案例雷诺数为:

泊肃叶流动摩擦系数:

可得压降:

2 STAR CCM+设置
2.1 启动STAR CCM+
-
启动STAR CCM+,点击菜单File → New…弹出设置对话框,如下图所示保持默认设置,点击OK按钮新建仿真

2.2 导入网格
本案例网格由ICEM CFD生成。
-
点击菜单File → Import → Import Volume Mesh…,在弹出对话框中选择网格文件ex5.cas导入网格

-
右键选择模型树节点Scenes,点击弹出菜单项New Scene → Mesh,如下图所示

图形窗口中显示导入的网格,如下图所示(取其中一段)。

注:网格来自Fluent验证文档,从图中看出,并没有添加边界层。
2.3 添加物理模型
-
右键选择模型树节点Continua → Physics 1,点击弹出菜单项Select models…,弹出设置对话框

-
取消选项Two Dimensional,选择选项Axisymmetric
-
弹出对话框中选择选项Steady
-
选择选项Gas
-
选择选项Segregated Flow
-
选择选项Constant Density
-
选择选项Laminar
-
其他参数保持默认设置,如下图所示,点击Close按钮关闭对话框

2.4 材料设置
-
鼠标双击模型树节点Continua > Physics 1 > Models > Gas > Air,弹出材料属性设置对话框,如下图所示,设置密度为1.225 kg/m3,粘度为1.7894e-5 Pa-s

2.5 定义函数
-
右键选择模型树节点Tools > Filed Functions,点击弹出菜单项New → Scalar创建标量表达式,命名为U

注:这里也可以创建矢量表达式,但创建标量要更加简单,也更容易理解。
-
属性窗口中点击Definition右侧按钮,弹出变量定义对话框

-
如下描图所示,变量定义对话框中指定速度表达式为
4*(1-pow($${Centroid}[1],2)/0.0025/0.0025),如下图所示

2.6 定义边界条件
1、inlet设置
-
鼠标点击模型树节点Region > FLUID > Boundaries > INLET > Physics Values > Velocity Magnitud,属性窗口中设置Value为50 m/s

-
鼠标点击模型树节点Region > FLUID > Boundaries > INLET > Physics Conditions > Velocity Specification,属性窗口中设置Method为Component

-
如下图所示,点击节点Region > FLUID > Boundaries > INLET > Physics Values> Velocity > Composite > X Component,属性窗口中设置Method为Field Function,设置Scalar Function为U

2、OUTLET设置
-
鼠标选中模型树节点Boundaries > OUTLET,属性窗口设置Type为Pressure Outlet,如下图所示

2.7 查看压降
-
鼠标右键选择模型树节点Reports,点击弹出菜单项New Report > Pressure Drop

-
性窗口中设置High Pressure为INLET,设置Low Pressure为OUTLET,如下图所示

-
右键选择模型树节点Reports > Pressure Drop 1,点击弹出菜单项Create Monitor and Plot from Report创建监控及曲线显示

2.8 设置迭代次数
-
鼠标选中模型树节点Stooping Criteria,属性窗口设置Maximum Steps为20000

注:这里没有设置其他的残差标准
2.9 开始计算
-
点击工具栏按钮Run开始计算

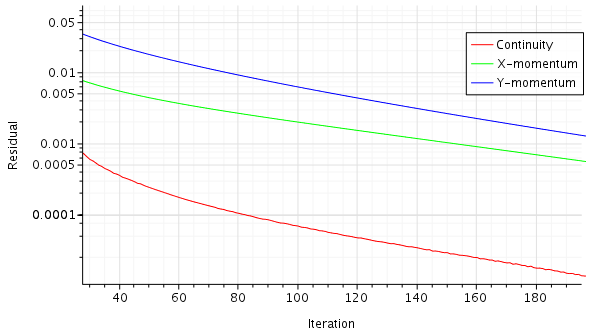
下图所示,计算收敛状况良好。

压降输出数据如下图所示,可以看出大约在316步迭代之后压降数据保持稳定为10.23 Pa,与理论计算结果10.24Pa极为吻合。

从之前计算湍流的案例来分析,STAR CCM+计算层流精度是极高的。
链接:
https://pan.baidu.com/s/1lP0GIPDGJB0-CgNEHjJY1w
提取码:o3s1
本篇文章来源于微信公众号: CFD之道








评论前必须登录!
注册