Fluent动网格中的DEFINE_GRID_MOTION宏允许用户定义网格节点的运动。本案例演示采用DEFINE_GRID_MOTION宏指定边界节点的运动。
案例动网格效果如图所示。

案例描述
本案例几何模型如图所示。

如图所示的同心圆柱体,内圆柱面进行扩张与收缩运动。其脉动位移可表达为:

其中v为径向速度,这里指定为:

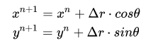
可得内圆节点每个时间步坐标为:

角度:

内圆几何半径为1 m,外圆半径为 2 m。
几何及网格
在ICEM CFD中创建几何模型并划分网格,并将内圆面命名为inner,外圆面命名为outer。如图所示。

本案例UDF如图所示。

动网格设置
采用Layering网格更新,参数可采用默认设置。

设置inner边界运动类型为user-defined,并加载udf。如下图所示。

视频操作


本篇文章来源于微信公众号: CFD之道








评论前必须登录!
注册