本案例利用CFX计算并验证管道内部泊肃叶流动产生的层流压降。
文献:F.M. White. Fluid Mechanics. 3rd Edition. McGraw-Hill Book Co., New York, NY. 1994.
1 案例描述
本案例计算管道内部泊肃叶流动压降。案例几何如图所示。

管道半径0.00125m,长度0.1m,内部介质密度1 kg/m3,粘度1e-5 kg/m-s。管内入口流动为充分发展层流,平均速度为2 m/s。
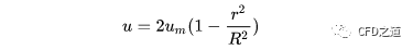
充分发展速度表达式为:

2 验证解
验证解析解来自F. M. White. Fluid Mechanics(7nd ed),p357。
本案例雷诺数为:

泊肃叶流动摩擦系数:

可得压降:

采用2D轴对称模型进行计算。
3 CFX设置
3.1 启动CFX
启动CFX后,软件界面如下图所示,设置Working Directory为合适的英文路径。

-
点击按钮CFX-Pre启动CFX前处理界面
-
点击菜单File → New Case新建case

-
弹出对话框中选择General,点击OK按钮

3.2 读取网格
-
选择菜单File → Import → Mesh,弹出对话框中选择网格文件VM03.cas

注:对于2D轴对称模型,通常可以在Fluent中设置好轴对称后输出为cas文件再导入CFX,这样CFX会自动构建楔形体。否则若直接导入msh文件,则导入的模型为长方体。
导入的模型如图所示。

3.3 设置材料参数
-
鼠标双击模型树节点Materials > Air at 25 C打开材料属性编辑面板
-
如下图所示,材料设置面板中修改Density为1 kg/m3
-
设置Dynamic Viscosity为1 E-5 Pa.s

-
点击OK按钮关闭面板
3.4 设置计算域
-
鼠标双击模型树节点Flow Analysis 1 > Default Domain打开区域设置面板

-
切换到Fluid Models标签页,设置Heat Transfer为None,设置Turbulence为None(Laminar),点击OK按钮关闭面板

注:本案例不考虑传热
3.5 边界条件
1、入口边界
-
右键选择模型树节点Default Domain,点击弹出菜单项Insert → Boundary插入边界

-
将边界命名为inlet

-
在Basic Settings标签页中设置Location为inlet

-
切换至Boundary Details标签页,设置Normal Speed为4[m/s]*(1-(r/1[m])^2/0.00125^2)
-
其他参数保持默认设置,点击OK按钮关闭设置面板

2、出口边界
-
右键选择模型树节点Default Domain,点击弹出菜单项Insert → Boundary插入边界outlet
-
在Basic Settings标签页中设置Location为outlet

-
切换至Boundary Details标签页,设置设置Mass And Momentum指定方式为Static Pressure,设置Relative Pressure为0 Pa

-
点击OK按钮关闭对话框
3、设置对称边界
-
右键选择模型树节点Default Domain,点击弹出菜单项Insert → Boundary插入边界symmetry
-
在Basic Settings标签页中设置Location为periodic.1,如下图所示

-
其他参数保持默认设置,点击OK按钮关闭设置面板
注:CFX读入Fluent的二维cas文件后会多出一些边界面,必须将其设置为对称面。剩下未定义的面默认为wall边界,本案例采用默认设置。
3.6 Solution Controls
-
鼠标双击模型树节点Solver Control,打开设置面板

-
如下图所示的设置面板中,设置Min. Iterations为100,设置Max. Iterations为500,设置Residual Target为1e-6

-
点击OK按钮关闭面板
-
点击菜单项File → Save Case保存文件
-
点击工具栏按钮Define Run写入求解器文件

-
点击Save按钮启动CFX求解管理器

3.7 开始计算
-
求解管理器对话框中设置Run Mode为Intel MPI Local Parallel,点击下侧的加号可增加CPU数量,如下图所示设置CPU数量为6个
-
点击按钮-Start Run开始计算

-
计算完毕后弹出提示对话框,激活选项Post-Process Results及Shut down CFX-Solver Manager,点击OK按钮启动CFD-Post

4 计算结果
1、定义压降表达式
-
CFD-Post中左侧模型面板中切换至Expressions标签页,在任意空白位置点击鼠标右键,选择弹出菜单项New新建表达式

-
弹出对话框中为表达式命名为PressureDrop,点击OK按钮关闭对话框

-
输入表达式areaAve(Total Pressure)@inlet -areaAve(Total Pressure)@outlet,点击按钮Apply,则Value显示为计算结果。

如图所示,计算得到的压力降为10.3203 Pa,与解析值10.24 Pa相比,误差0.7%,本案例网格较为粗糙,增加网格密度有助于提高计算精度。
链接:
https://pan.baidu.com/s/1NDUi8pZ4eKbc1eOYaPwJnA
提取码:l800
本篇文章来源于微信公众号: CFD之道








评论前必须登录!
注册