扩散光顺是Fluent提供的另外一种常用的网格光顺方法。其基本原理是通过求解扩散方程得到网格节点的运动位移。
温馨提示:文中图多,建议在wifi环境下阅读。
01
扩散光顺基本计算
扩散光顺通过求解 以下扩散方程来设置网格的节点位置。

其中,u为网格的运动速度。求解出运动速度后,可以很容易获得网格节点在下一个时间步长的位置。

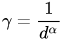
式中, γ为扩散系数。Fluent提供两种计算扩散系数的方法。
-
Boundary distant:基于网格节点与边界zhi的距离来计算扩散系数。

式中d为正则化后的网格节点与边界之间的距离。
-
cell volume:基于网格体积计算扩散系数。

式中,v为网格正则化体积。
参数α即设置面板中的Diffusion Parameter,如下图所示。此参数取值

02
扩散光顺参数设置
扩散光顺只需要设置参数Diffusion Parameter,亦即前面公式中的α。
该参数取值范围为0~2。当取值为0时,扩散系数
注意:扩散光顺比弹簧光顺的计算量要大,但通常能够获得比弹簧光顺更好的网格质量(特别是对于非四面体/非三角形网格区域)。与弹簧光顺一样,扩散光顺也更适合于平移运动,对于旋转运动边界则很容易出现负体积。
03
Linearly Elastic Solid光顺
线弹性实体光顺方法是新版本Fluent中添加的。此方法则是通过借鉴弹性力学中的平衡方程来计算节点位移。具体计算方法可参阅Fluent UserGuid的10.6.2.1.3节。
该方法只有一个参数需要设置:Poisson's Ratio。泊松比的取值方位为-1.0~0.5。默认参数为0.45。
此方法的计算量比扩散光顺更大,但是能够提供比扩散光顺更好的网格质量。此方法支持二维的三角形和四边形网格,三维模型中的四面体、六面体、三棱柱以及五面体网格,但是不能用于变形网格区域中包含有多面体或悬挂节点的网格。在包含有多面体或悬挂节点的网格区域,建议使用扩散光顺。

04
光顺案例
以下两幅图分别为采用弹簧光顺及扩散光顺的网格预览结果。

(弹簧光顺)

(扩散光顺)
实际上扩散光顺可以允许比弹簧光顺幅度更大的运动,这里是因为公众号对GIF文件有大小限制,所以把后面的视频给删除掉了。
关于光顺的案例,我们在下一篇文章中查看。

如果亲们觉得本公众号对你有帮助,请将它分享给您认为对他有帮助的人。微信扫描或长按下方二维码关注本公众号。

本篇文章来源于微信公众号: CFD之道








评论前必须登录!
注册