小白最近在练习案例的时候,对稳态和瞬态的问题,产生了一些疑问。譬如说,为什么有的案例用稳态,而有的案例用瞬态?有时候相同的案例既可以用稳态也可以用瞬态,而有的案例却只能用瞬态计算?小白决定找小牛师兄问一下。“师兄,稳态和瞬态到底有什么区别?在实际工程中应该怎么选择才好呢?
区别
“流动控制方程还记得不?”小牛师兄问。
“嗯,我记得有四项内容。”小白在纸上写出流动控制方程的通用形式。

“是的,控制方程有四项内容,其中第一项即瞬态项,稳态及瞬态的区別就在于控制方程中是否存在瞬态项。可以看出瞬态项是关于时间的偏导数,因此计算得到的结果也是与时间相关的。”小牛师兄说道。
“这样说不太好理解,来举个简单的例子就好理解了。最近不是流行问雨从高空掉下来能否砸死人么,我们现在不讨论能否砸死人,这里只考虑水滴下落过程。地球人都知道,雨滴在下落过程中主要受到两种力,其一为重力,其二为阻力。假设雨滴在下落过程中质量及形状保持不变,根据流体力学理论可知,雨滴在下落过程中,其受到的阻力与其运动速度的平方成正比。定性分析雨滴在空中的下落形式为:在下落的起始一段时间内,由于其速度较小,因此其阻力较小,此时重力大于阻力,其速度不断增大,而随着速度不断增大,雨滴所受阻力不断增大,此时作用在雨滴上的合力在断减小,加速度减小,但雨滴速度依然在增加,当速增加到作用在雨滴上的阻力与其重力相平衡时,其速度达到稳定,之后其将一直保持该速度直至下落到地面。”“整个过程可以分为两个阶段,首先是加速阶段,之后以稳定速度下降。如果单纯考虑雨滴下落速度的话,第一个阶段是与时间密切相关的,速度随时间推移逐渐增大;而在第二阶段,下落速度与时间无关,任意时刻其都将保持相同的速度。因此,若考虑速度,则第一阶段为瞬态,第二阶段为稳态。”
“然而,若将位移作为目标物理量,则整个过程都是瞬态的。因此,稳态还是瞬态,取决于所要考虑的物理量。”
“我们一般说瞬态得到的是物理量随时间发展的过程,而稳态计算得到的是稳定时的状态。”“由于数值计算过程中时间项也要进行离散,因此瞬态计算得到的是一系列时间点上的状态量,至于时间点间隔,则取决于离散时所采用的时间步长。”小牛师兄最后说。
选择
“前面说了那么多,那么在工程中选用瞬态还是稳态实际上就很清楚了。根据所要考虑的物理量是否能够达到稳定而进行选择。”“现实中的问题,有一些可以达到稳定,而有些问题实际上根本就不可能达到稳定。比如说前面例子中的雨滴,其速度就可以达到稳定。而如圆柱绕流中圆柱的升力和阻力,那是成周期性变化的物理量,不管你计算多久都是不可能达到稳定的。”“记住一点,所有的工程问题都可以计算瞬态,但未必都能计算稳态。稳态只是一种简化!”小牛师兄说道。
“因此在实际应用中,到底是选择瞬态还是稳态,取决于你要观察的物理量。若只考虑系统稳定后的物理量状态,那么就选择使用稳态计算;若要考虑物理量的演化情况,则需要使用瞬态。”
时间
“在瞬态计算时需要额外关注时间,在数值计算的过程中,时间被离散成不连续的时间点,时间点之间的间隔称之为时间步长(Time Step),在进行瞬态计算时,时间步长的大小会影响计算收敛性。”
“说到收敛性,需要注意瞬态计算的收敛与稳态计算有些不同,稳态计算只需要最终迭代达到收敛即可,而瞬态计算则要求每个时间步内均达到收敛。”
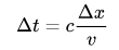
“时间步长的选择有时候需要满足CFL条件。可通过公式粗略的估计时间步长。”

其中,c为库朗数,Δx为网格尺寸,v为局部速度。
“可以看出,网格越细密,则要求计算时采用的时间步长越小;流场中流体速度越大,则计算时要求的时间步长也越小。小的时间步长会极大的增加计算时间。因此若对计算时间有要求的话,则在划分计算网格时可以将网格适当画粗一点,这样可以使用更大的时间步长进行计算,不过网格粗了又会对计算结果有影响。在计算时需要进行综合考虑并折中处理。”小牛师兄说。

本篇文章来源于微信公众号: CFD之道









评论前必须登录!
注册