本案例演示利用Fluent中的VOF模型仿真计算密闭油箱晃动过程中的自由液面问题。
汽车在颠簸的道路上行驶时,在变加速度作用下,可能会导致油箱内液面晃动。当晃动极为剧烈时,甚至会造成油泵无法吸取燃油,因此需要利用CFD研究油箱在晃动过程中液面分布情况。为简化计算,本案例采用2D模型,3D模型的仿真思路及设置过程与此完全相同。计算域几何如图所示。

对于油箱晃动过程,在Fluent中有两种方式进行解决:
-
指定加速度。Fluent中可以指定流体运动加速度,并将加速度以体积力的形式施加到计算域中的流体上。然而Fluent并没有提供变加速度的直接添加,若要计算变加速度情况,则需要手工分段计算。
-
指定计算域速度。将加速度或位移数据转化为速度添加到计算域上。可以通过DEFINE_ZONE_MOTION宏或PROFILE文件的方式进行指定。此方式要比加速度方式更加灵活。
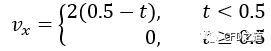
本案例假设计算区域的运动速度为:

案例模型极为简单,在SCDM中创建0.6x0.3m的矩形平面,采用网格尺寸0.003m,在ICEM CFD中生成网格,共生成20000个四边形网格。

利用UDF宏DEFINE_ZONE_MOTION指定区域运动。

该UDF宏可以以编译或解释的方式加载。
-
以2D、Double Precision方式启动Fluent,导入网格文件
-
双击模型树节点General,右侧面板激活选项Transient及Gravity,设置重力加速度为Y方向-9.81 m/s2

-
鼠标双击模型树节点Models > Multiphase,弹出的对话框中激活选项Volume of Fluid
-
激活选项Implicit Body Force,其他参数设置如下图所示

-
右键选择模型树节点Models > Viscous,点击弹出菜单项Model → Realizable k-epsilon激活湍流模型

添加材料water-liquid,采用默认材料参数。这里可以将材料参数改成汽油的参数,我就懒得改了,后面就用水代替油了。
-
右键选择模型树节点Models > Multiphase > Phase > Primary Phase,点击Edit....

-
设置主相为air

-
相同方式设置第二相为water

-
鼠标双击模型树节点Models > Multiphase > Phase > Phase Interactions,弹出对话框中设置表面张力系数为0.071,如下图所示设置

-
右键选择模型树节点Parameters & CUstomization > User Defined Functions,点击弹出菜单项Interpreted...

-
弹出对话框中添加源文件mov.c进行解释

-
鼠标双击模型树节点Cell Zone Conditions,右侧面板中设置区域类型为fluid,点击按钮Edit...

-
激活选项Mesh Motion,设置Zone Motion Function为zonemotion,点击OK按钮关闭对话框

-
点击按钮Operating Conditions,如下图所示进行设置

-
鼠标双击模型树节点Solution > Methods,右侧面板按下图所示进行设置

-
右键选择模型树节点Solution > Cell Registers,点击弹出菜单项New → Region...

-
弹出对话框中设置区域(0 ,0)→(0.6,0.15),点击按钮Save/Display

-
鼠标双击模型树节点Initialization,右侧面板点击按钮Initialize

-
点击Patch...按钮打开对话框,如下图所示,patch前面标记的区域water相体积分数为1

-
双击模型树节点Run Calculation,右侧面板设置Time Step Size为0.001 s,设置Number of Time Steps为1000
-
设置Max Iterations/ Time Step为40
-
点击按钮Calculate开始计算

计算完毕后1s时刻液面形状如图所示。

注:经常有人问如何输出液位高度变化。其实很简单,做一个iso surface,定义water的volume fraction为0.5,然后输出iso surface的坐标就行了。
整个1s时间内晃荡过程如视频所示。

本篇文章来源于微信公众号: CFD之道








评论前必须登录!
注册